1Z0-051
1.
View the Exhibit and examine the structure of the SALES, CUSTOMERS, PRODUCTS, and TIMES tables. The PROD_ID column is the foreign key in the SALES table, which references the PRODUCTS table. Similarly, the CUST_ID and TIME_ID columns are also foreign keys in the SALES table referencing the CUSTOMERS and TIMES tables, respectively. Evaluate the following CREATE TABLE command:
Which statement is true regarding the above command? (B)
|
CREATE TABLE new_sales(prod_id, cust_id, order_date DEFAULT SYSDATE) AS SELECT prod_id, cust_id, time_id FROM sales; |
A. The NEW_SALES table would not get created because the DEFAULT value cannot be specified in the column definition.
B. The NEW_SALES table would get created and all the NOT NULL constraints defined on the specified columns would be passed to the new table.
C. The NEW_SALES table would not get created because the column names in the CREATE TABLE command and the SELECT clause do not match.
D.The NEW_SALES table would get created and all the FOREIGN KEY constraints defined on the specified columns would be passed to the new table.
|
CREATE TABLE T2 ( Col1 NUMBER(2) PRIMARY KEY, Col2 VARCHAR2(10) );
CREATE TABLE T3 AS SELECT * FROM T2;
|
隐式声明的NOT NULL约束(例如主键的NOT NULL约束)不会继承。
Creating a Table Using a Subquery
Create a table and insert rows by combining the CREATE
TABLE statement and the AS subquery option.
CREATE TABLE table
[(column, column...)]
AS subquery;
Match the number of specified columns to the number of subquery columns.
Define columns with column names and default values.
Guidelines
The table is created with the specified column names, and the rows retrieved by the
SELECT statement are inserted into the table.
The column definition can contain only the column name and default value.
If column specifications are given, the number of columns must equal the number of
columns in the subquery SELECT list.
If no column specifications are given, the column names of the table are the same as the column
names in the subquery.
The column data type definitions and the NOT NULL constraint are passed to the new table.
Note that only the explicit NOT NULL constraint will be inherited. The PRIMARY KEY column will
not pass the NOT NULL feature to the new column. Any other constraint rules are not passed to
the new table. However, you can add constraints in the column definition.
2
View the Exhibit to examine the description for the SALES table.
|
--A. CREATE VIEW v3 AS SELECT * FROM SALES WHERE cust_id = 2034 WITH CHECK OPTION; --B. CREATE VIEW v1 AS SELECT * FROM SALES WHERE time_id <= SYSDATE - 2*365 WITH CHECK OPTION; --C. CREATE VIEW v2 AS SELECT prod_id, cust_id, time_id FROM SALES WHERE time_id <= SYSDATE - 2*365 WITH CHECK OPTION; --D. CREATE VIEW v4 AS SELECT prod_id, cust_id, SUM(quantity_sold) FROM SALES WHERE time_id <= SYSDATE - 2*365 GROUP BY prod_id, cust_id WITH CHECK OPTION; |
Which views can have all DML operations performed on it? (Choose all that apply.)(AB)
解释:插入视图中没有记录是可以的。
C,D因为指定了具体的列,而且D中指定了分组函数。
Creating a View
You can create a view by embedding a subquery in the CREATE VIEW statement.
In the syntax:
CREATE [OR REPLACE] [FORCE|NOFORCE] VIEW view
[(alias[, alias]...)]
AS subquery
[WITH CHECK OPTION [CONSTRAINT constraint]]
[WITH READ ONLY [CONSTRAINT constraint]];
OR REPLACE Re-creates the view if it already exists
FORCE Creates the view regardless of whether or not the base tables exist
NOFORCE Creates the view only if the base tables exist (This is the default.)
view Is the name of the view
alias Specifies names for the expressions selected by the view's query (The number of aliases
must match the number of expressions selected by the view.)
subquery Is a complete SELECT statement (You can use aliases for the columns in the SELECT
list.)
WITH CHECK OPTION Specifies that only those rows that are accessible to the view can be
inserted or updated ANSWER D
constraint Is the name assigned to the CHECK OPTION constraint
WITH READ ONLY Ensures that no DML operations can be performed on this view
Rules for Performing DML Operations on a View
You cannot add data through a view if the view includes:
Group functions
A GROUP BY clause
The DISTINCT keyword
The pseudocolumn ROWNUM keyword
Columns defined by expressions
NOT NULL columns in the base tables that are not selected by the view – ANSWER C
3
You need to extract details of those products in the SALES table where the PROD_ID column contains the string '_D123'.
Which WHERE clause could be used in the SELECT statement to get the required output? (B)
|
A. WHERE prod_id LIKE '%_D123%' ESCAPE '_' B.WHERE prod_id LIKE '%\_D123%' ESCAPE '\' C.WHERE prod_id LIKE '%_D123%' ESCAPE '%_' D.WHERE prod_id LIKE '%\_D123%' ESCAPE '\_' |
A naturally occurring underscore character may be escaped (or treated as a regular nonspecial
symbol) using the ESCAPE identifier in conjunction with an ESCAPE character. The second
example in Figure 3-12 shows the SQL statement that retrieves the JOBS table records with
JOB_ID values equal to SA_MAN and SA_REP and which conforms to the original requirement:
select job_id from jobs
where job_id like 'SA\_%' escape '\';
4
Which two statements are true regarding single row functions? (Choose two.) (DE)
A. They accept only a single argument.
B. They can be nested only to two levels.
C. Arguments can only be column values or constants.
D. They always return a single result row for every row of a queried table.
E. They can return a data type value different from the one that is referenced.
单行函数可以嵌套任意层,而分组函数最多可以嵌套2层。
C,也可以是函数的返回值。
A function is a program written to optionally accept input parameters, perform an operation, or
return a single value. A function returns only one value per execution.
Three important components form the basis of defining a function. The first is the input parameter
list. It specifies zero or more arguments that may be passed to a function as input for processing.
These arguments or parameters may be of differing data types, and some are mandatory while
others may be optional. The second component is the data type of its resultant value. Upon
execution, only one value is returned by the function. The third encapsulates the details of the
processing performed by the function and contains the program code that optionally manipulates
the input parameters, performs calculations and operations, and generates a return value.
5
Which SQL statements would display the value 1890.55 as $1,890.55? (Choose three)
|
A. SELECT TO_CHAR(1890.55,'$0G000D00') FROM DUAL; B. SELECT TO_CHAR(1890.55,'$9,999V99') FROM DUAL; C. SELECT TO_CHAR(1890.55,'$99,999D99') FROM DUAL; D. SELECT TO_CHAR(1890.55,'$99G999D00') FROM DUAL; E. SELECT TO_CHAR(1890.55,'$99G999D99') FROM DUAL; |
不允许混合合适符号和字母指定格式,这道题没有逗号的就是正确答案
6
Examine the structure of the SHIPMENTS table:
|
name Null Type PO_ID NOT NULL NUMBER(3) PO_DATE NOT NULL DATE SHIPMENT_DATE NOT NULL DATE SHIPMENT_MODE VARCHAR2(30) SHIPMENT_COST NUMBER(8,2) |
You want to generate a report that displays the PO_ID and the penalty amount to be paid if the SHIPMENT_DATE is later than one month from the PO_DATE. The penalty is $20 per day. Evaluate the following two queries:
|
SELECT po_id, CASE WHEN MONTHS_BETWEEN (shipment_date,po_date) > 1 THEN TO_CHAR((shipment_date - po_date) * 20) ELSE 'No Penalty' END PENALTY FROM shipments;
SELECT po_id, DECODE (MONTHS_BETWEEN(po_date,shipment_date) > 1, TO_CHAR((shipment_date - po_date) * 20), 'No Penalty') PENALTY FROM shipments; |
Which statement is true regarding the above commands?
A. Both execute successfully and give correct results.
B. Only the first query executes successfully but gives a wrong result.
C. Only the first query executes successfully and gives the correct result.
D. Only the second query executes successfully but gives a wrong result.
E. Only the second query executes successfully and gives the correct result.
DECODE函数在此不适用。
The MONTHS_BETWEEN(date 1, date 2) function returns the number of
months between two dates:
months_between('01-FEB-2008','01-JAN-2008') = 1
The DECODE Function
Although its name sounds mysterious, this function is straightforward. The DECODE function
implements if-then-else conditional logic by testing its first two terms for equality and returns the
third if they are equal and optionally returns another term if they are not.
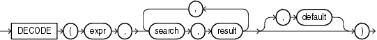
DECODE Function
Facilitates conditional inquiries by doing the work of a CASE expression or an
IF-THEN-ELSE statement:
DECODE(col|expression, search1, result1
[, search2, result2,...,]
[, default])
DECODE Function
The DECODE function decodes an expression in a way similar to the IF-THEN-ELSE logic that is
used in various languages. The DECODE function decodes expression after comparing it to each
search value. If the expression is the same as search, result is returned.
If the default value is omitted, a null value is returned where a search value does not match anyof
the result values
7
Which two statements are true regarding the USING and ON clauses in table joins? (Choose two.)
A. Both USING and ON clauses can be used for equijoins and nonequijoins.
B. A maximum of one pair of columns can be joined between two tables using the ON clause.
C. The ON clause can be used to join tables on columns that have different names but compatible data types.
D. The WHERE clause can be used to apply additional conditions in SELECT statements containing the ON or the USING clause.
A. USING只能用于等值连接。
B. 使用ON子句进行连接时,可以指定多个列对。
Creating Joins with the USING Clause
If several columns have the same names but the data types do not mat ch, use
the USING clause to specify the columns for the equijoin.
Use the USING clause to match only one column when more than one column
matches.
The NATURAL JOIN and USING clauses are mutually exclusive
Using Table Aliases with the USING clause
When joining with the USING clause, you cannot qualify a column that is used in
the USING clause itself. Furthermore, if that column is used anywhere in the SQL
statement, you cannot alias it. For example, in the query mentioned in the slide,
you should not alias the location_id column in the WHERE clause because the
column is used in the USING clause.
The columns that are referenced in the USING clause should not have a qualifier
(table name oralias) anywhere in the SQL statement.
Creating Joins with the ON Clause
The join condition for the natural join is basically an equijoin of all columns with
the same name.
Use the ON clause to specify arbitrary conditions or specify columns to join. –
ANSWER C
The join condition is separated from other search conditions. ANSWER D
The ON clause makes code easy to understand.
8
View the Exhibit and examine the structure of the CUSTOMERS table.
Which two tasks would require subqueries or joins to be executed in a single statement? (Choose two.)
A. listing of customers who do not have a credit limit and were born before 1980
B. finding the number of customers, in each city, whose marital status is 'married'
C. finding the average credit limit of male customers residing in 'Tokyo' or 'Sydney'
D. listing of those customers whose credit limit is the same as the credit limit of customers residing in the city 'Tokyo'
E. finding the number of customers, in each city, whose credit limit is more than the average credit limit of all the customers
答案选择最长的2个就OK
|
A SELECT * FROM customers WHERE cust_credit_limit IS NULL AND cust_year_of_birth < 1980; B SELECT cust_city, COUNT(maritial_status) WHERE maritial_status = 'married' GROUP BY cust_city; C SELECT AVG(cust_credit_limit) FROM customers WHERE city IN ('Tokyo', 'Sydney') AND gender = 'M' |
Describe the Types of Problems That the Subqueries Can Solve
There are many situations where you will need the result of one query as the input for another.
Use of a Subquery Result Set for Comparison Purposes
Which employees have a salary that is less than the average salary? This could be answered by
two statements, or by a single statement with a subquery. The following example uses two
statements:
select avg(salary) from employees;
select last_name from employees where salary < result_of_previous_query ;
Alternatively, this example uses one statement with a subquery:
select last_name from employees
where salary < (select avg(salary)from employees);
In this example, the subquery is used to substitute a value into the WHERE clause of the parent
query: it is returning a single value, used for comparison with the rows retrieved by the parent
query.
The subquery could return a set of rows. For example, you could use the following to find all
departments that do actually have one or more employees assigned to them:
select department_name from departments where department_id in
(select distinct(department_id) from employees);
9
Which statement is true regarding the INTERSECT operator?
A. It ignores NULL values.
B. Reversing the order of the intersected tables alters the result.
C. The names of columns in all SELECT statements must be identical.
D. The number of columns and data types must be identical for all SELECT statements in the query.
Intersect操作不忽略空值。它会比较null,此时可以认为null = null
|
CREATE TABLE Student1 ( ID NUMBER(4), NAME VARCHAR2(10) ); INSERT INTO Student1 VALUES(1001, 'Student1'); INSERT INTO Student1 VALUES(1002, 'Student2'); INSERT INTO Student1 VALUES(1003, NULL);
INSERT INTO Student2 VALUES(1001, 'Student1'); INSERT INTO Student3 VALUES(1003, NULL);
scott@TESTDB11>select * from student1 2 intersect 3 select * from student2;
ID NAME ---------- ---------- 1001 Student1 1003 |
INTERSECT Returns only the rows that occur in both queries' result sets, sorting them and
removing duplicates.
The columns in the queries that make up a compound query can have different names, but the
output result set will use the names of the columns in the first query
10
View the Exhibit; examine the structure of the PROMOTIONS table.
Each promotion has a duration of at least seven days .
Your manager has asked you to generate a report, which provides the weekly cost for each promotion done to l date.
Which query would achieve the required result?
|
A. SELECT promo_name, promo_cost/promo_end_date-promo_begin_date/7 FROM promotions; B. SELECT promo_name,(promo_cost/promo_end_date-promo_begin_date)/7 FROM promotions; C. SELECT promo_name, promo_cost/(promo_end_date-promo_begin_date/7) FROM promotions; D. SELECT promo_name, promo_cost/((promo_end_date-promo_begin_date)/7) FROM promotions; |
11
View the Exhibit and examine the structure of the PRODUCTS table. All products have a list price. You issue the following command to display the total price of each product after a discount of 25% and a tax of 15% are applied on it. Freight charges of $100 have to be applied to all the products.
|
SELECT prod_name, prod_list_price -(prod_list_price*(25/100)) +(prod_list_price -(prod_list_price*(25/100))*(15/100))+100 AS "TOTAL PRICE" FROM products; |
What would be the outcome if all the parentheses are removed from the above statement?
A. It produces a syntax error.
B. The result remains unchanged.
C. The total price value would be lower than the correct value.
D. The total price value would be higher than the correct value.
解释:这道题说sql中所有的圆括号去掉之后对结果有没有影响,小学生的问题
SELECT prod_name,
prod_list_price - (prod_list_price * (25 / 100)) +(prod_list_price - (prod_list_price * (25 / 100)) * (15 / 100)) + 100 AS "TOTAL PRICE"
FROM products;
12
You need to produce a report where each customer's credit limit has been incremented by $1000. In the output, the customer's last name should have the heading Name and the incremented credit limit should be labeled New Credit Limit. The column headings should have only the first letter of each word in uppercase .
Which statement would accomplish this requirement?
|
A. SELECT cust_last_name Name,cust_credit_limit + 1000 "New Credit Limit" FROM customers; B. SELECT cust_last_name AS Name, cust_credit_limit + 1000 AS New Credit Limit FROM customers; C. SELECT cust_last_name AS "Name", cust_credit_limit + 1000 AS "New Credit Limit" FROM customers; D. SELECT INITCAP(cust_last_name) "Name", cust_credit_limit + 1000 INITCAP("NEW CREDIT LIMIT") FROM customers; |
A也正确
A column alias:
- Renames a column heading
- Is useful with calculations
- Immediately follows the column name (There can also be the optional AS
keyword between the column name and the alias.)
- Requires double quotation marks if it contains spaces or special characters, or
if it is case-sensitive
13
View the Exhibit and examine the structure of the PRODUCTS table. You need to generate a report in the following format:
CATEGORIES
5MP Digital Photo Camera's category is Photo Y Box's category is Electronics
Envoy Ambassador's category is Hardware
Which two queries would give the required output? (Choose two.)
|
A.SELECT prod_name || q'''s category is ' || prod_category CATEGORIES FROM products; B. SELECT prod_name || q'['s ]'category is ' || prod_category CATEGORIES FROM products; C. SELECT prod_name || q'\'s\' ' || category is ' || prod_category CATEGORIES FROM products; D. SELECT prod_name || q'<'s >' || 'category is ' || prod_category CATEGORIES FROM products; |
注意:从Oralce 10g开始,可以使用q'<>/[]/{}',引号中用特殊字符括起来即可。
So, how are words that contain single quotation marks dealt with? There are essentially two
mechanisms available. The most popular of these is to add an additional single quotation mark
next to each naturally occurring single quotation mark in the character string
Oracle offers a neat way to deal with this type of character literal in the form of the alternative
quote (q) operator. Notice that the problem is that Oracle chose the single quote characters as
the special pair of symbols that enclose or wrap any other character literal. These
character-enclosing symbols could have been anything other than single quotation marks.
Bearing this in mind, consider the alternative quote (q) operator. The q operator enables you to
choose from a set of possible pairs of wrapping symbols for character literals as alternatives to
the single quote symbols. The options are any single-byte or multibyte character or the four
brackets: (round brackets), {curly braces}, [squarebrackets], or
operator, the character delimiter can effectively be changed from a single quotation mark to any
other character
The syntax of the alternative quote operator is as follows:
q'delimiter'character literal which may include the single quotes delimiter' where delimiter can
be any character or bracket.
Alternative Quote (q) Operator
Specify your own quotation mark delimiter.
Select any delimiter.
Increase readability and usability.
SELECT department_name || q'[ Department's Manager Id: ]'
|| manager_id
AS "Department and Manager"
FROM departments;
Alternative Quote (q) Operator
Many SQL statements use character literals in expressions or conditions. If the
literal itself contains a single quotation mark, you can use the quote (q) operator
and select your own quotation mark delimiter.
You can choose any convenient delimiter, single-byte or multibyte, or any of the
following character pairs: [ ], { }, ( ), or < >.
In the example shown, the string contains a single quotation mark, which is
normally interpreted as a delimiter of a character string. By using the q operator,
however, brackets [] are used as the quotation mark delimiters. The string
between the brackets delimiters is interpreted as a literal character string.
14
Using the CUSTOMERS table, you need to generate a report that shows 50% of each credit amount in each income level. The report should NOT show any repeated credit amounts in each income level. Which query would give the required result?
|
A.SELECT cust_income_level, DISTINCT cust_credit_limit * 0.50 AS "50% Credit Limit" FROM customers; B. SELECT DISTINCT cust_income_level, DISTINCT cust_credit_limit * 0.50 AS "50% Credit Limit" FROM customers; C.SELECT DISTINCT cust_income_level || cust_credit_limit * 0.50 AS "50% Credit Limit" FROM customers; D. SELECT cust_income_level || cust_credit_limit * 0.50 AS "50% Credit Limit" FROM customers; |
解释:
A. DISTINCT关键字只能出现在第一列之前。
B. 一个SELECT语句上只能出现一个DISTINCT关键字
Unless you indicate otherwise, SQL displays the results of a query without
eliminating the duplicate rows.
To eliminate duplicate rows in the result, include the DISTINCT keyword in the
SELECT clause immediately after the SELECT keyword.
You can specify multiple columns after the DISTINCT qualifier. The DISTINCT
qualifier affects all the selected columns, and the result is every distinct
combination of the columns.
15
View the Exhibit and examine the data in the CUSTOMERS table.
Evaluate the following query:
|
SELECT cust_name AS "NAME", cust_credit_limit/2 AS MIDPOINT, MIDPOINT + 100 AS "MAX LOWER LIMIT" FROM customers; |
The above query produces an error on execution. What is the reason for the error?
A. An alias cannot be used in an expression.
B. The alias NAME should not be enclosed with in double quotation marks .
C. The MIDPOINT+100 expression gives an error because CUST_CREDIT_LIMIT contains NULL values.
D. The alias MIDPOINT should be enclosed within double quotation marks for the CUST_CREDIT_LIMIT/2 expression .
16
Evaluate the following query:
|
SELECT promo_name || q'{'s start date was }' || promo_begin_date AS "Promotion Launches" FROM promotions; |
What would be the outcome of the above query?
A. It produces an error because flower braces have been used.
B. It produces an error because the data types are not matching.
C. It executes successfully and introduces an 's at the end of each promo_name in the output.
D. It executes successfully and displays the literal " {'s start date was } " for each row in the output.
So, how are words that contain single quotation marks dealt with? There are essentially two
mechanisms available. The most popular of these is to add an additional single quotation mark
next to each naturally occurring single quotation mark in the character string
Oracle offers a neat way to deal with this type of character literal in the form of the alternative
quote (q) operator. Notice that the problem is that Oracle chose the single quote characters as
the special pair of symbols that enclose or wrap any other character literal. These
character-enclosing symbols could have been anything other than single quotation marks.
Bearing this in mind, consider the alternative quote (q) operator. The q operator enables you to
choose from a set of possible pairs of wrapping symbols for character literals as alternatives to
the single quote symbols. The options are any single-byte or multibyte character or the four
brackets: (round brackets), {curly braces}, [squarebrackets], or
operator, the character delimiter can effectively be changed from a single quotation mark to any
other character
The syntax of the alternative quote operator is as follows:
q'delimiter'character literal which may include the single quotes delimiter' where delimiter can
be any character or bracket.
Alternative Quote (q) Operator
Specify your own quotation mark delimiter.
Select any delimiter.
Increase readability and usability.
SELECT department_name || q'[ Department's Manager Id: ]'
|| manager_id
AS "Department and Manager"
FROM departments;
Alternative Quote (q) Operator
Many SQL statements use character literals in expressions or conditions. If the
literal itself contains a single quotation mark, you can use the quote (q) operator
and select your own quotation mark delimiter.
You can choose any convenient delimiter, single-byte or multibyte, or any of the
following character pairs: [ ], { }, ( ), or < >.
In the example shown, the string contains a single quotation mark, which is
normally interpreted as a delimiter of a character string. By using the q operator,
however, brackets [] are used as the quotation mark delimiters. The string
between the brackets delimiters is interpreted as a literal character string.
17
View the Exhibit and examine the data in the EMPLOYEES table.
You want to generate a report showing the total compensation paid to each employee to date. You issue the following query:
|
SELECT ename || ' joined on ' || hiredate || ', the total compensation paid is ' || TO_CHAR(ROUND(ROUND(SYSDATE-hiredate)/365) * sal + comm) "COMPENSATION UNTIL DATE" FROM employees; |
What is the outcome?
A. It generates an error because the alias is not valid.
B. It executes successfully and gives the correct output.
C. It executes successfully but does not give the correct output.
D. It generates an error because the usage of the ROUND function in the expression is not valid.
E. It generates an error because the concatenation operator can be used to combine only two items.
解释:有些记录的comm为空。
ROUND(column|expression, n) Rounds the column, expression, or value to n
decimal places or, if n is omitted, no decimal places (If n is negative, numbers to
the left of decimal point are rounded.)
18
Examine the structure of the PROMOTIONS table:
|
name Null Type PROMO_ID NOT NULL NUMBER(6) PROMO_NAME NOT NULL VARCHAR2(30) PROMO_CATEGORY NOT NULL VARCHAR2(30) PROMO_COST NOT NULL NUMBER(10,2) |
The management wants to see a report of unique promotion costs in each promotion category. Which query would achieve the required result?
|
A. SELECT DISTINCT promo_cost, promo_category FROM promotions; B. SELECT promo_category, DISTINCT promo_cost FROM promotions; C. SELECT DISTINCT promo_cost, DISTINCT promo_category FROM promotions; D. SELECT DISTINCT promo_category, promo_cost FROM promotions ORDER BY 1; |
19
Evaluate the following query:
|
SELECT INTERVAL '300' MONTH, INTERVAL '54-2' YEAR TO MONTH, INTERVAL '11:12:10.1234567' HOUR TO SECOND FROM dual; |
What is the correct output of the above query?
A. +25-00 , +54-02, +00 11:12:10.123457
B. +00-300, +54-02, +00 11:12:10.123457
C. +25-00 , +00-650, +00 11:12:10.123457
D. +00-300 , +00-650, +00 11:12:10.123457
SQL Language Reference->Literal
Datetime Data Types
You can use several datetime data types:
INTERVAL YEAR TO MONTH
Stored as an interval of years and months
INTERVAL DAY TO SECOND
Stored as an interval of days, hours, minutes,and seconds
给点例子:
|
时间间隔字面量 |
说明 |
|
INTERVAL '3' DAY |
时间间隔为3天 |
|
INTERVAL '2' HOUR |
时间间隔为2小时 |
|
INTERVAL '25' MINUTE |
时间间隔为25分钟 |
|
INTERVAL '45' SECOND |
时间间隔为45秒 |
|
INTERVAL '3 2' DAY TO HOUR |
时间间隔为3天零2小时 |
|
INTERVAL '3 2:25' DAY TO MINUTE |
时间间隔为3天零2小时25分 |
|
INTERVAL '3 2:25:45' DAY TO SECOND |
时间间隔为3天零2小时25分45秒 |
|
INTERVAL '123 2:25:45.12' DAY(3) TO SECOND(2) |
时间间隔为123天零2小时25分45.12秒; 天的精度是3位数字,秒的小数部分的精度是2位数字 |
|
INTERVAL '3 2:00:45' DAY TO SECOND |
时间间隔为3天2小时0分45秒 |
|
INTERVAL '-3 2:25:45' DAY TO SECOND |
时间间隔为负数,值为3天零2小时25分45秒 |
|
INTERVAL '1234 2:25:45' DAY(3) TO SECOND |
时间间隔无效,因为天的位数超过了指定的精度3 |
|
INTERVAL '123 2:25:45.123' DAY TO SECOND(2) |
时间间隔无效,因为秒的小数部分的位数超过了指定的精度2 |
20
Which three statements are true regarding the data types in Oracle Database 10g/11g? (Choose three.)
A. Only one LONG column can be used per table.
B. A TIMESTAMP data type column stores only time values with fractional seconds.
C. The BLOB data type column is used to store binary data in an operating system file.
D. The minimum column width that can be specified for a VARCHAR2 data type column is one.
E. The value for a CHAR data type column is blank-padded to the maximum defined column width.■ LONG Character data in the database character set, up to 2GB. All the functionality of LONG
(and more) is provided by CLOB; LONGs should not be used in a modern database, and if your
database has any columns of this type they should be converted to CLOB. There can only be
one LONG column in a table.
DVARCHAR2 Variable-length character data, from 1 byte to 4KB. The data is stored in the
database character set. The VARCHAR2 data type must be qualified with a number indicating the
maximum length of the column. If a value is inserted into the column that is less than this, it is not
a problem: the value will only take up as much space as it needs. If the value is longer than this
maximum, the INSERT will fail with an error.
VARCHAR2(size)
Variable-length character data (A maximum size must be specified: minimum size is 1;
maximum size is 4,000.)
BLOB Like CLOB, but binary data that will not undergo character set conversion by Oracle Net.
BFILE A locator pointing to a file stored on the operating system of the database server. The size
of the files is limited to 4GB.
TIMESTAMP This is length zero if the column is empty, or up to 11 bytes, depending on the
precision specified. Similar to DATE, but with precision of up to 9 decimal places for the seconds,
6 places by default.
21
Examine the description of the EMP_DETAILS table given below:
|
name NULL TYPE EMP_ID NOT NULL NUMBER EMP_NAME NOT NULL VARCHAR2 (40) EMP_IMAGE LONG |
Which two statements are true regarding SQL statements that can be executed on the EMP_DETAIL table? (Choose two.)
A. An EMP_IMAGE column can be included in the GROUP BY clause.
B. An EMP_IMAGE column cannot be included in the ORDER BY clause.
C. You cannot add a new column to the table with LONG as the data type.
D. You can alter the table to include the NOT NULL constraint on the EMP_IMAGE column.
LONG Character data in the database character set, up to 2GB. All the functionality of LONG
(and more) is provided by CLOB; LONGs should not be used in a modern database, and if your
database has any columns of this type they should be converted to CLOB. There can only be
one LONG column in a table.
Guidelines
A LONG column is not copied when a table is created using a subquery.
A LONG column cannot be included in a GROUP BY or an ORDER BY clause.
Only one LONG column can be used per table.
No constraints can be defined on a LONG column.
You might want to use a CLOB column rather than a LONG column
22
You need to create a table for a banking application. One of the columns in the table has the following requirements:
1) You want a column in the table to store the duration of the credit period.
2) The data in the column should be stored in a format such that it can be easily added and subtracted with DATE data type without using conversion functions.
3) The maximum period of the credit provision in the application is 30 days.
4) The interest has to be calculated for the number of days an individual has taken a credit for. Which data type would you use for such a column in the table?
A. DATE
B. NUMBER
C. TIMESTAMP
D. INTERVAL DAY TO SECOND
E. INTERVAL YEAR TO MONTH
23
Examine the structure proposed for the TRANSACTIONS table:
|
name Null Type TRANS_ID NOT NULL NUMBER(6) CUST_NAME NOT NULL VARCHAR2(20) CUST_STATUS NOT NULL CHAR TRANS_DATE NOT NULL DATE TRANS_VALIDITY VARCHAR2 CUST_CREDIT_LIMIT NUMBER |
Which statements are true regarding the creation and storage of data in the above table structure? (Choose all that apply.)
A. The CUST_STATUS column would give an error.
B. The TRANS_VALIDITY column would give an error.
C. The CUST_STATUS column would store exactly one character.
D. The CUST_CREDIT_LIMIT column would not be able to store decimal values.
E. The TRANS_VALIDITY column would have a maximum size of one character.
F. The TRANS_DATE column would be able to store day, month, century, year, hour, minutes, seconds, and fractions of seconds.
解释:
B,VARCHAR2类型必须指定最大长度
F,DATE类型,没有fractions of seconds.
VARCHAR2(size)Variable-length character data (A maximum size must be specified:
minimum size is 1; maximum size is 4,000.)
CHAR [(size)] Fixed-length character data of length size bytes (Default and minimum size is
1; maximum size is 2,000.)
NUMBER [(p,s)] Number having precision p and scale s (Precision is the total number of
decimal digits and scale is the number of digits to the right of the decimal point; precision can
range from 1 to 38, and scale can range from –84 to 127.)
DATE Date and time values to the nearest second between January 1, 4712 B.C., and
December 31, 9999 A.D.
24
Examine the structure proposed for the TRANSACTIONS table:
|
name Null Type TRANS_ID NOT NULL NUMBER(6) CUST_NAME NOT NULL VARCHAR2(20) CUST_STATUS NOT NULL VARCHAR2 TRANS_DATE NOT NULL DATE TRANS_VALIDITY INTERVAL DAY TO SECOND CUST_CREDIT_VALUE NUMBER(10) |
Which two statements are true regarding the storage of data in the above table structure? (Choose two.)
A. The TRANS_DATE column would allow storage of dates only in the dd-mon-yyyy format.
B. The CUST_CREDIT_VALUE column would allow storage of positive and negative integers.
C. The TRANS_VALIDITY column would allow storage of a time interval in days, hours, minutes, and seconds.
D. The CUST_STATUS column would allow storage of data up to the maximum VARCHAR2 size of 4,000 characters.
25
You need to create a table with the following column specifications:
1. Employee ID (numeric data type) for each employee
2. Employee Name (character data type) that stores the employee name
3. Hire date, which stores the date of joining the organization for each employee
4. Status (character data type), that contains the value 'ACTIVE' if no data is entered
5. Resume (character large object [CLOB] data type), which contains the resume submitted by the employee
Which is the correct syntax to create this table?
|
A. CREATE TABLE EMP_1 ( emp_id NUMBER(4), emp_name VARCHAR2(25), start_date DATE, e_status VARCHAR2(10) DEFAULT 'ACTIVE', resume CLOB(200) ); B. CREATE TABLE 1_EMP ( emp_id NUMBER(4), emp_name VARCHAR2(25), start_date DATE, emp_status VARCHAR2(10) DEFAULT 'ACTIVE', resume CLOB );
C. CREATE TABLE EMP_1 ( emp_id NUMBER(4), emp_name VARCHAR2(25), start_date DATE, emp_status VARCHAR2(10) DEFAULT "ACTIVE", resume CLOB ); D. CREATE TABLE EMP_1 ( emp_id NUMBER, emp_name VARCHAR2(25), start_date DATE, emp_status VARCHAR2(10) DEFAULT 'ACTIVE', resume CLOB ); |
解释:
A,CLOB不能指定精度
B,表名得以字母开头
C,emp_status列默认值应该为'ACTIVE',不应该用双引号
CLOB Character data (up to 4 GB)
NUMBER [(p,s)] Number having precision p and scale s (Precision is the total
number of decimal digits and scale is the number of digits to the right of the
decimal point; precision can range from 1 to 38, and scale can range from –84 to 127.)
26
Which is the valid CREATE TABLE statement?
|
A. CREATE TABLE emp9$#(emp_no NUMBER (4)); B. CREATE TABLE 9emp$#(emp_no NUMBER(4)); C. CREATE TABLE emp*123(emp_no NUMBER(4)); D. CREATE TABLE emp9$#(emp_no NUMBER(4), date DATE); |
解释:
B,表名不允许以数字开头
C,表名中不允许出现特殊符号*
D,date为保留字,不能作为列名。
Schema Object Naming Rules
Every database object has a name. In a SQL statement, you represent the name of an object with
a quoted identifier or a nonquoted identifier.
A quoted identifier begins and ends with double quotation marks ("). If you name a schema
object using a quoted identifier, then you must use the double quotation marks whenever you
refer to that object.
A nonquoted identifier is not surrounded by any punctuation.
The following list of rules applies to both quoted and nonquoted identifiers unless otherwise
indicated:
Names must be from 1 to 30 bytes long with these exceptions:
Names of databases are limited to 8 bytes.
Names of database links can be as long as 128 bytes.
If an identifier includes multiple parts separated by periods, then each attribute can be up to 30
bytes long. Each period separator, as well as any surrounding double quotation marks, counts as
one byte. For example, suppose you identify a column like this:
"schema"."table"."column"
Nonquoted identifiers cannot be Oracle Database reserved words (ANSWER D). Quoted
identifiers can be reserved words, although this is not recommended.
Depending on the Oracle product you plan to use to access a database object, names might be
further restricted by other product-specific reserved words.
The Oracle SQL language contains other words that have special meanings. These words
include datatypes, schema names, function names, the dummy system table DUAL, and
keywords (the uppercase words in SQL statements, such as DIMENSION, SEGMENT,
ALLOCATE, DISABLE, and so forth). These words are not reserved. However, Oracle uses them
internally in specific ways. Therefore, if you use these words as names for objects and object
parts, then your SQL statements may be more difficult to read and may lead to unpredictable
results.
In particular, do not use words beginning with SYS_ as schema object names, and do not use the
names of SQL built-in functions for the names of schema objects or user-defined functions.
You should use ASCII characters in database names, global database names, and database link
names, because ASCII characters provide optimal compatibility across different platforms and
operating systems.
Nonquoted identifiers must begin with an alphabetic character (ANSWER B - begins with
9) from your database character set. Quoted identifiers can begin with any character.
Nonquoted identifiers can contain only alphanumeric characters from your database character set
and the underscore (_), dollar sign ($), and pound sign (#). Database links can also contain
periods (.) and "at" signs (@). Oracle strongly discourages you from using $ and # in nonquoted
identifiers.
Quoted identifiers can contain any characters and punctuations marks as well as spaces.
However, neither quoted nor nonquoted identifiers can contain double quotation marks or the null
character (\0).
Within a namespace, no two objects can have the same name.
Nonquoted identifiers are not case sensitive. Oracle interprets them as uppercase. Quoted
identifiers are case sensitive.
By enclosing names in double quotation marks, you can give the following names to different
objects in the same namespace:
employees
"employees"
"Employees"
"EMPLOYEES"
Note that Oracle interprets the following names the same, so they cannot be used for different
objects in the same namespace:
employees
EMPLOYEES
"EMPLOYEES"
Columns in the same table or view cannot have the same name. However, columns in different
tables or views can have the same name.
Procedures or functions contained in the same package can have the same name, if their
arguments are not of the same number and datatypes. Creating multiple procedures or functions
with the same name in the same package with different arguments is called overloading the
procedure or function.
27
Which two statements are true regarding tables? (Choose two.)
A. A table name can be of any length.
B. A table can have any number of columns.
C. A column that has a DEFAULT value cannot store null values.
D. A table and a view can have the same name in the same schema.
E. A table and a synonym can have the same name in the same schema.
F. The same table name can be used in different schemas in the same database.
解释:
E,有问题,但是创建公共同义词可以:create public synonym ttt for ttt;
Synonyms
Synonyms are database objects that enable you to call a table by another name.
You can create synonyms to give an alternative name to a table.
28
Which two statements are true regarding constraints? (Choose two.)
A. A foreign key cannot contain NULL values.
B. A column with the UNIQUE constraint can contain NULL values.
C. A constraint is enforced only for the INSERT operation on a table.
D. A constraint can be disabled even if the constraint column contains data.
E. All constraints can be defined at the column level as well as the table level.
Including Constraints
? Constraints enforce rules at the table level.
? Constraints prevent the deletion of a table if there are dependencies.
? The following constraint types are valid:
– NOT NULL
– UNIQUE
– PRIMARY KEY
– FOREIGN KEY
– CHECK
29
Which two statements are true regarding constraints? (Choose two.)
A. A foreign key cannot contain NULL values.
B. The column with a UNIQUE constraint can store NULLS .
C. A constraint is enforced only for an INSERT operation on a table.
D. You can have more than one column in a table as part of a primary key.
30
Evaluate the following CREATE TABLE commands:
|
CREATE TABLE orders ( ord_no NUMBER(2) CONSTRAINT ord_pk PRIMARY KEY, ord_date DATE, cust_id NUMBER(4) ); CREATE TABLE ord_items ( ord_no NUMBER(2), item_no NUMBER(3), qty NUMBER(3) CHECK (qty BETWEEN 100 AND 200), expiry_date date CHECK (expiry_date > SYSDATE), CONSTRAINT it_pk PRIMARY KEY (ord_no,item_no), CONSTRAINT ord_fk FOREIGN KEY(ord_no) REFERENCES orders(ord_no) ); |
The above command fails when executed. What could be the reason?
A. SYSDATE cannot be used with the CHECK constraint.
B. The BETWEEN clause cannot be used for the CHECK constraint.
C. The CHECK constraint cannot be placed on columns having the DATE data type.
D. ORD_NO and ITEM_NO cannot be used as a composite primary key because ORD_NO is also the FOREIGN KEY.
CHECK Constraint
The CHECK constraint defines a condition that each row must satisfy. The condition can use the
same constructs as the query conditions, with the following exceptions:
References to the CURRVAL, NEXTVAL, LEVEL, and ROWNUM pseudocolumns
Calls to SYSDATE, UID, USER, and USERENV functions
Queries that refer to other values in other rows
A single column can have multiple CHECK constraints that refer to the column in its definition.
There is no limit to the number of CHECK constraints that you can define on a column.
CHECK constraints can be defined at the column level or table level.
CREATE TABLE employees
(...
salary NUMBER(8,2) CONSTRAINT emp_salary_min
CHECK (salary > 0),
31
Evaluate the following SQL commands:
|
CREATE SEQUENCE ord_seq INCREMENT BY 10 START WITH 120 MAXVALUE 9999 NOCYCLE;
CREATE TABLE ord_items ( ord_no NUMBER(4) DEFAULT ord_seq.NEXTVAL NOT NULL, item_no NUMBER(3), qty NUMBER(3) CHECK (qty BETWEEN 100 AND 200), expiry_date date CHECK (expiry_date > SYSDATE), CONSTRAINT it_pk PRIMARY KEY (ord_no,item_no), CONSTRAINT ord_fk FOREIGN KEY(ord_no) REFERENCES orders(ord_no) ); |
The command to create a table fails. Identify the reason for the SQL statement failure? (Choose all that apply.)
A. You cannot use SYSDATE in the condition of a CHECK constraint.
B. You cannot use the BETWEEN clause in the condition of a CHECK constraint.
C. You cannot use the NEXTVAL sequence value as a DEFAULT value for a column.
D. You cannot use ORD_NO and ITEM_NO columns as a composite primary key because ORD_NO is also the FOREIGN KEY.
The CHECK constraint defines a condition that each row must satisfy. The condition can use the
same constructs as the query conditions, with the following exceptions:
References to the CURRVAL, NEXTVAL, LEVEL, and ROWNUM pseudocolumns
Calls to SYSDATE, UID, USER, and USERENV functions
Queries that refer to other values in other rows
A single column can have multiple CHECK constraints that refer to the column in its definition.
There is no limit to the number of CHECK constraints that you can define on a column.
CHECK constraints can be defined at the column level or table level.
CREATE TABLE employees
(...
salary NUMBER(8,2) CONSTRAINT emp_salary_min
CHECK (salary > 0),
32
Which CREATE TABLE statement is valid?
|
A. CREATE TABLE ord_details ( ord_no NUMBER(2) PRIMARY KEY, item_no NUMBER(3) PRIMARY KEY, ord_date DATE NOT NULL ); B. CREATE TABLE ord_details ( ord_no NUMBER(2) UNIQUE,NOT NULL, item_no NUMBER(3), ord_date DATE DEFAULT SYSDATE NOT NULL );
C. CREATE TABLE ord_details ( ord_no NUMBER(2) , item_no NUMBER(3), ord_date DATE DEFAULT NOT NULL, CONSTRAINT ord_uq UNIQUE (ord_no), CONSTRAINT ord_pk PRIMARY KEY (ord_no) ); D. CREATE TABLE ord_details ( ord_no NUMBER(2), item_no NUMBER(3), ord_date DATE DEFAULT SYSDATE NOT NULL, CONSTRAINT ord_pk PRIMARY KEY (ord_no, item_no) ); |
A,一个表中只能有一个主键
B,UNIQUE和NOT NULL之前多一个,号
C,指定了DEFAULT,没有指定默认值。
PRIMARY KEY Constraint
A PRIMARY KEY constraint creates a primary key for the table. Only one primary
key can be created for each table. The PRIMARY KEY constraint is a column or
a set of columns that uniquely identifies each row in a table. This constraint
enforces the uniqueness of the column or column combination and ensures that
no column that is part of the primary key can contain a null value.
Note: Because uniqueness is part of the primary key constraint definition, the Oracle server enforces the uniqueness by implicitly creating a unique index on
the primary key column or columns.
33
33. You want to create an ORD_DETAIL table to store details for an order placed having the following business requirement:
1) The order ID will be unique and cannot have null values.
2) The order date cannot have null values and the default should be the current date.
3) The order amount should not be less than 50.
4) The order status will have values either shipped or not shipped.
5) The order payment mode should be cheque, credit card, or cash on delivery (COD). Which is the valid DDL statement for creating the ORD_DETAIL table?
|
A. CREATE TABLE ord_details ( ord_id NUMBER(2) CONSTRAINT ord_id_nn NOT NULL, ord_date DATE DEFAULT SYSDATE NOT NULL, ord_amount NUMBER(5, 2) CONSTRAINT ord_amount_min CHECK (ord_amount > 50), ord_status VARCHAR2(15) CONSTRAINT ord_status_chk CHECK (ord_status IN ('Shipped', 'Not Shipped')), ord_pay_mode VARCHAR2(15) CONSTRAINT ord_pay_chk CHECK (ord_pay_mode IN ('Cheque', 'Credit Card', 'Cash On Delivery')) ); B. CREATE TABLE ord_details ( ord_id NUMBER(2) CONSTRAINT ord_id_uk UNIQUE NOT NULL, ord_date DATE DEFAULT SYSDATE NOT NULL, ord_amount NUMBER(5, 2) CONSTRAINT ord_amount_min CHECK (ord_amount > 50), ord_status VARCHAR2(15) CONSTRAINT ord_status_chk CHECK (ord_status IN ('Shipped', 'Not Shipped')), ord_pay_mode VARCHAR2(15) CONSTRAINT ord_pay_chk CHECK (ord_pay_mode IN ('Cheque', 'Credit Card', 'Cash On Delivery')) ); C. CREATE TABLE ord_details ( ord_id NUMBER(2) CONSTRAINT ord_id_pk PRIMARY KEY, ord_date DATE DEFAULT SYSDATE NOT NULL, ord_amount NUMBER(5, 2) CONSTRAINT ord_amount_min CHECK (ord_amount >= 50), ord_status VARCHAR2(15) CONSTRAINT ord_status_chk CHECK (ord_status IN ('Shipped', 'Not Shipped')), ord_pay_mode VARCHAR2(15) CONSTRAINT ord_pay_chk CHECK (ord_pay_mode IN ('Cheque', 'Credit Card', 'Cash On Delivery'))); D. CREATE TABLE ord_details ( ord_id NUMBER(2), ord_date DATE NOT NULL DEFAULT SYSDATE, ord_amount NUMBER(5, 2) CONSTRAINT ord_amount_min CHECK (ord_amount >= 50), ord_status VARCHAR2(15) CONSTRAINT ord_status_chk CHECK (ord_status IN ('Shipped', 'Not Shipped')), ord_pay_mode VARCHAR2(15) CONSTRAINT ord_pay_chk CHECK (ord_pay_mode IN ('Cheque', 'Credit Card','Cash On Delivery')) ); |
A,ord_id应该定义主键约束
34
You created an ORDERS table with the following description:
|
name Null Type ORD_ID NOT NULL NUMBER(2) CUST_ID NOT NULL NUMBER(3) ORD_DATE NOT NULL DATE ORD_AMOUNT NOT NULL NUMBER (10,2) |
You inserted some rows in the table. After some time, you want to alter the table by creating the PRIMARY KEY constraint on the ORD_ID column. Which statement is true in this scenario?
A. You cannot have two constraints on one column.
B. You cannot add a primary key constraint if data exists in the column.
C. The primary key constraint can be created only at the time of table creation .
D. You can add the primary key constraint even if data exists, provided that there are no duplicate values.
35
Which two statements are true regarding constraints? (Choose two.)
A. A table can have only one primary key and one foreign key.
B. A table can have only one primary key but multiple foreign keys.
C. Only the primary key can be defined at the column and table levels.
D. The foreign key and parent table primary key must have the same name.
E. Both primary key and foreign key constraints can be defined at both column and table levels.
36
Examine the following SQL commands:
|
CREATE TABLE products ( prod_id NUMBER(3) CONSTRAINT p_ck CHECK (prod_id > 0), prod_name CHAR(30), prod_qty NUMBER(6), CONSTRAINT p_name NOT NULL, CONSTRAINT prod_pk PRIMARY KEY (prod_id) ); CREATE TABLE warehouse ( warehouse_id NUMBER(4), roomno NUMBER(10) CONSTRAINT r_id CHECK(roomno BETWEEN 101 AND 200), location VARCHAR2(25), prod_id NUMBER(3), CONSTRAINT wr_pr_pk PRIMARY KEY (warehouse_id,prod_id), CONSTRAINT prod_fk FOREIGN KEY (prod_id) REFERENCES products(prod_id) ); |
Which statement is true regarding the execution of the above SQL commands?
A. Both commands execute successfully.
B. The first CREATE TABLE command generates an error because the NULL constraint is not valid.
C. The second CREATE TABLE command generates an error because the CHECK constraint is not valid.
D. The first CREATE TABLE command generates an error because CHECK and PRIMARY KEY constraints cannot be used for the same column.
E. The first CREATE TABLE command generates an error because the column PROD_ID cannot be used in the PRIMARY KEY and FOREIGN KEY constraints.
解释:
The slide gives the syntax for defining constraints when creating a table. You can
create constraints at either the column level or table level. Constraints defined at
the column level are included when the column is defined. Table -level constraints
are defined at the end of the table definition and must refer to the column or
columns on which the constraint pertains in a set of parentheses. It is mainly the
syntax that differentiates the two; otherwise, functionally, a columnlevel
constraint is the same as a table-level constraint.
NOT NULL constraints must be defined at the column level.
Constraints that apply to more than one column must be defined at the table level
37
You issued the following command to drop the PRODUCTS table:
DROP TABLE products;
What is the implication of this command? (Choose all that apply.)
A. All data along with the table structure is deleted.
B. The pending transaction in the session is committed.
C. All indexes on the table will remain but they are invalidated.
D. All views and synonyms will remain but they are invalidated.
E. All data in the table are deleted but the table structure will remain.
解释:drop table时,索引被删除了,但视图和同义词仍在。
38
Which two statements are true regarding views? (Choose two.)
A. A simple view in which column aliases have been used cannot be updated.
B. Rows cannot be deleted through a view if the view definition contains the DISTINCT keyword.
C. Rows added through a view are deleted from the table automatically when the view is dropped.
D. The OR REPLACE option is used to change the definition of an existing view without dropping and re-creating it.
E. The WITH CHECK OPTION constraint can be used in a view definition to restrict the columns displayed through the view.
39
Evaluate the following command:
|
CREATE TABLE employees ( employee_id NUMBER(2) PRIMARY KEY, last_name VARCHAR2(25) NOT NULL, department_id NUMBER(2)NOT NULL, job_id VARCHAR2(8), salary NUMBER(10,2) ); |
You issue the following command to create a view that displays the IDs and last names of the sales staff in the organization:
|
CREATE OR REPLACE VIEW sales_staff_vu AS SELECT employee_id, last_name,job_id FROM employees WHERE job_id LIKE 'SA_%' WITH CHECK OPTION; |
Which two statements are true regarding the above view? (Choose two.)
A. It allows you to insert rows into the EMPLOYEES table .
B. It allows you to delete details of the existing sales staff from the EMPLOYEES table.
C. It allows you to update job IDs of the existing sales staff to any other job ID in the EMPLOYEES table.
D. It allows you to insert IDs, last names, and job IDs of the sales staff from the view if it is used in multitable INSERT statements
A,视图基表中有列未出现在视图中,且它具有NOT NULL约束。
C,因为具有WITH CHECK OPTION
D,关于多表插入
|
INSERT ALL INTO sal_history VALUES(EMPID,HIREDATE,SAL) INTO mgr_history VALUES(EMPID,MGR,SAL) SELECT employee_id EMPID, hire_date HIREDATE, salary SAL, manager_id MGR FROM employees WHERE employee_id > 200; |
40
View the Exhibit to examine the description for the SALES and PRODUCTS tables. You want to create a SALE_PROD view by executing the following SQL statement:
|
CREATE VIEW sale_prod AS SELECT p.prod_id, cust_id, SUM(quantity_sold) "Quantity" , SUM(prod_list_price) "Price" FROM products p, sales s WHERE p.prod_id=s.prod_id GROUP BY p.prod_id, cust_id; |
Which statement is true regarding the execution of the above statement?
A. The view will be created and you can perform DML operations on the view.
B. The view will be created but no DML operations will be allowed on the view.
C. The view will not be created because the join statements are not allowed for creating a view.
D. The view will not be created because the GROUP BY clause is not allowed for creating a view.
ments.
Rules for Performing DML Operations on a View
You cannot add data through a view if the view includes:
Group functions
-
A GROUP BY clause
-
The DISTINCT keyword
-
The pseudocolumn ROWNUM keyword
-
Columns defined by expressions
-
NOT NULL columns in the base tables that are not selected
-
by the view
41
Which two statements are true regarding views? (Choose two.)
A. A subquery that defines a view cannot include the GROUP BY clause.
B. A view that is created with the subquery having the DISTINCT keyword can be updated.
C. A view that is created with the subquery having the pseudo column ROWNUM keyword cannot be updated.
D. A data manipulation language ( DML) operation can be performed on a view that is created with the subquery having all the NOT NULL columns of a table.
解释:
Rules for Performing DML Operations on a View
You cannot add data through a view if the view includes:
Group functions
A GROUP BY clause
The DISTINCT keyword
The pseudocolumn ROWNUM keyword
Columns defined by expressions
NOT NULL columns in the base tables that are not selected
by the view
42
Which three statements are true regarding views? (Choose three.)
A. Views can be created only from tables.
B. Views can be created from tables or other views.
C. Only simple views can use indexes existing on the underlying tables.
D. Both simple and complex views can use indexes existing on the underlying tables.
E. Complex views can be created only on multiple tables that exist in the same schema.
F. Complex views can be created on multiple tables that exist in the same or different schemas.
解释:这道题没有only的都是正确答案
43
Evaluate the following CREATE SEQUENCE statement:
|
CREATE SEQUENCE seq1 START WITH 100 INCREMENT BY 10 MAXVALUE 200 CYCLE NOCACHE; |
The SEQ1 sequence has generated numbers up to the maximum limit of 200. You issue the following SQL statement: SELECT seq1.nextval FROM dual;
What is displayed by the SELECT statement?
A. 1
B. 10
C. 100
D. an error
原因:指定cycle选项后,如果达到了该序列的最大值(maxvalue),则会从它的最小值(minvalue)开始,产生下一个值。注意,不是从start with开始。如果没指定minvalues,则相当于指定nominvalue选项,则minvalue的值为1。
CYCLE | NOCYCLE Specifies whether the sequence continues to generate
values after reaching its maximum or minimum value
(NOCYCLE is the default option.)
CACHE n | NOCACHE Specifies how many values the Oracle server preallocates
and keeps in memory (By default, the Oracle server
caches 20 values.)
But why the answer is not "C" ?
Because you didn't specify the MINVALUE for the sequence. If you check the sequence definition
that you created it will have the default value of 1, which it reverts to when cycling.
If you wanted to keep the minimum value you would need to specify it in the sequence creation.
sequence Is the name of the sequence generator
INCREMENT BY n Specifies the interval between sequence numbers, where
n is an integer (If this clause is omitted, the sequence
increments by 1.)
START WITH n Specifies the first sequence number to be generated (If this
clause is omitted, the sequence starts with 1.)
MAXVALUE n Specifies the maximum value the sequence can generate
NOMAXVALUE Specifies a maximum value of 10^27 for an ascending
sequence and –1 for a descending sequence (This is the
default option.)
MINVALUE n Specifies the minimum sequence value
NOMINVALUE Specifies a minimum value of 1 for an ascending sequence
and –(10^26) for a descending sequence (This is the default
option.)
CYCLE | NOCYCLE Specifies whether the sequence continues to generate
values after reaching its maximum or minimum value
(NOCYCLE is the default option.)
CACHE n | NOCACHE Specifies how many values the Oracle server preallocates
and keeps in memory (By default, the Oracle server
caches 20 values.)
44
View the Exhibit and examine the structure of the ORD table.
Evaluate the following SQL statements that are executed in a user session in the specified order:
|
CREATE SEQUENCE ord_seq; SELECT ord_seq.nextval FROM dual; INSERT INTO ord VALUES (ord_seq.CURRVAL, '25-jan-2007',101); UPDATE ord SET ord_no= ord_seq.NEXTVAL WHERE cust_id =101; |
What would be the outcome of the above statements?
A. All the statements would execute successfully and the ORD_NO column would contain the value 2 for the CUST_ID 101.
B. The CREATE SEQUENCE command would not execute because the minimum value and maximum value for the sequence have not been specified.
C. The CREATE SEQUENCE command would not execute because the starting value of the sequence and the increment value have not been specified.
D. All the statements would execute successfully and the ORD_NO column would have the value 20 for the CUST_ID 101 because the default CACHE value is 20.
45
45. Which two statements are true about sequences created in a single instance database? (Choose two.)
A. The numbers generated by a sequence can be used only for one table.
B. DELETE
C. CURRVAL is used to refer to the last sequence number that has been generated.
D. When the MAXVALUE limit for a sequence is reached, you can increase the MAXVALUE limit by using the ALTER SEQUENCE statement.
E. When a database instance shuts down abnormally, the sequence numbers that have been cached but not used would be available once again when the database instance is restarted.
解释:
Gaps in the Sequence
Although sequence generators issue sequential numbers without gaps, this action occurs
independent of a commit or rollback. Therefore, if you roll back a statement containing a
sequence, the number is lost.
Another event that can cause gaps in the sequence is a system crash. If the sequence caches
values in memory, those values are lost if the system crashes.
Because sequences are not tied directly to tables, the same sequence can be used for multiple
tables. However, if you do so, each table can contain gaps in the sequential numbers.
Modifying a Sequence
If you reach the MAXVALUE limit for your sequence, no additional values from the sequence are
allocated and you will receive an error indicating that the sequence exceeds the MAXVALUE. To
continue to use the sequence, you can modify it by using the ALTER SEQUENCE statement
To remove a sequence, use the DROP statement:
DROP SEQUENCE dept_deptid_seq;
46
Which statements are correct regarding indexes? (Choose all that apply.)
A. When a table is dropped, the corresponding indexes are automatically dropped.
B. A FOREIGN KEY constraint on a column in a table automatically creates a nonunique index.
C. A nondeferrable PRIMARY KEY or UNIQUE KEY constraint in a table automatically creates a unique index.
D. For each data manipulation language (DML) operation performed, the corresponding indexes are automatically updated.
47
View the Exhibit and examine the structure of ORD and ORD_ITEMS tables.
The ORD_NO column is PRIMARY KEY in the ORD table and the ORD_NO and ITEM_NO columns are composite PRIMARY KEY in the ORD_ITEMS table.
Which two CREATE INDEX statements are valid? (Choose two.)
|
A. CREATE INDEX ord_idx1 ON ord(ord_no); B. CREATE INDEX ord_idx2 ON ord_items(ord_no); C. CREATE INDEX ord_idx3 ON ord_items(item_no); D. CREATE INDEX ord_idx4 ON ord,ord_items(ord_no, ord_date,qty); |
解释:
-
不能在主键列上再次创建索引
D,索引不能同时建立在2个表上
You can create two types of indexes.
Unique index: The Oracle server automatically creates this index when you define a column
in a table to have a PRIMARY KEY or a UNIQUE constraint. The name of the index is the name
that is given to the constraint.
Nonunique index: This is an index that a user can create. For example, you can create the
FOREIGN KEY column index for a join in a query to improve the speed of retrieval.
Note: You can manually create a unique index, but it is recommended that you create a unique
constraint, which implicitly creates a unique index.
48
Which two statements are true regarding indexes? (Choose two.)
A. They can be created on tables and clusters.
B They can be created on tables and simple views.
C. You can create only one index by using the same columns.
D. You can create more than one index by using the same columns if you specify distinctly different combinations of the columns.
可以这样创建的: INDEX1(A,B) INDEX(B,A)
49
The ORDERS table belongs to the user OE. OE has granted the SELECT privilege on the ORDERS table to the user HR.
Which statement would create a synonym ORD so that HR can execute the following query successfully?
|
SELECT * FROM ord; A. This command is issued by OE. CREATE SYNONYM ord FOR orders; B. This command is issued by OE. CREATE PUBLIC SYNONYM ord FOR orders; C. This command is issued by the database administrator. CREATE SYNONYM ord FOR oe.orders; D. This command is issued by the database administrator. CREATE PUBLIC SYNONYM ord FOR oe.orders; |
Creating a Synonym for an Object
To refer to a table that is owned by another user, you need to prefix the table name with the name
of the user who created it, followed by a period. Creating a synonym eliminates the need to
qualify the object name with the schema and provides you with an alternative name for a table,
view, sequence, procedure, or other objects. This method can be especially useful with lengthy
object names, such as views.
In the syntax:
PUBLIC Creates a synonym that is accessible to all users
synonym Is the name of the synonym to be created
object Identifies the object for which the synonym is created
Guidelines
The object cannot be contained in a package.
A private synonym name must be distinct from all other objects that are owned by the same
user.
If you try to execute the following command (alternative B, issued by OE):
CREATE PUBLIC SYNONYM ord FOR orders;
You will get an error.
Error que empieza en la línea 693 del comando:
create public synonym nuly for prueba_null
Error en la línea de comandos:693 Columna:0
Informe de error:
Error SQL: ORA-01031: privilegios insuficientes
01031. 00000 - "insufficient privileges"
The message gives you the answer: OE doesn't have enough privileges. However, if you give the
necessary privileges (issued by DBA):
GRANT CREATE PUBLIC SYNONYM TO OE;
You won't have problems executing the command in the alternative B (issued by OE): CREATE
PUBLIC SYNONYM ord FOR orders;
Finally, if you need to be sure what system privileges you have in your active session, you can
execute the following command (issued by OE):
SELECT * FROM USER_PRIVS;
(One of the rows must be: CREATE PUBLIC SYNONYM ).
50
SLS is a private synonym for the SH.SALES table. The user SH issues the following command: DROP SYNONYM sls;
Which statement is true regarding the above SQL statement?
A. Only the synonym would be dropped.
B. The synonym would be dropped and the corresponding table would become invalid.
C. The synonym would be dropped and the packages referring to the synonym would be dropped.
D. The synonym would be dropped and any PUBLIC synonym with the same name becomes invalid.
DDL statements.
解释:
A synonym is an alias for
a table (or a view). Users can execute SQL statements against the synonym, and
the database will map them into statements against the object to which the synonym
points.
Private synonyms are schema objects. Either they must be in your own schema, or they must be
qualified with the schema name. Public synonyms exist independently of a schema. A public
synonym can be referred to by any user to whom permission has been granted to see it without
the need to qualify it with a schema name. Private synonyms must be a unique name within their
schema. Public synonyms can have the same name as schema objects. When executing
statements that address objects without a schema qualifier, Oracle will first look for the object in
the local schema, and only if it cannot be found will it look for a public synonym.
51
51. Which statement is true regarding synonyms?
A. Synonyms can be created only for a table.
B. Synonyms are used to reference only those tables that are owned by another user.
C. A public synonym and a private synonym can exist with the same name for the same table.
D. The DROP SYNONYM statement removes the synonym, and the table on which the synonym has been created becomes invalid.
52
View the Exhibit and examine the structure of the PRODUCTS table.
Using the PRODUCTS table, you issue the following query to generate the names, current list price, and discounted list price for all those products whose list price falls below $10 after a discount of 25% is applied on it.
|
SELECT prod_name, prod_list_price, prod_list_price - (prod_list_price * .25) "DISCOUNTED_PRICE" FROM products WHERE discounted_price < 10; |
The query generates an error. What is the reason for the error?
A. The parenthesis should be added to enclose the entire expression.
B. The double quotation marks should be removed from the column alias.
C. The column alias should be replaced with the expression in the WHERE clause.
D. The column alias should be put in uppercase and enclosed with in double quotation marks in the WHERE clause.
注释:Where子句中不能使用列别名
53
View the Exhibit and examine the data in the PROMOTIONS table. PROMO_BEGIN_DATE is stored in the default date format, dd-mon-rr.
You need to produce a report that provides the name, cost, and start date of all promos in the POST category that were launched before January 1, 2000.
Which SQL statement would you use?
|
A. SELECT promo_name, promo_cost, promo_begin_date FROM promotions WHERE promo_category = 'post' AND promo_begin_date < '01-01-00'; B. SELECT promo_name, promo_cost, promo_begin_date FROM promotions WHERE promo_cost LIKE 'post%' AND promo_begin_date < '01-01-2000'; C. SELECT promo_name, promo_cost, promo_begin_date FROM promotions WHERE promo_category LIKE 'P%' AND promo_begin_date < '1-JANUARY-00'; D. SELECT promo_name, promo_cost, promo_begin_date FROM promotions WHERE promo_category LIKE '%post%' AND promo_begin_date < '1-JAN-00'; |
54
View the Exhibit and examine the structure of the CUSTOMERS table. Evaluate the query statement:
|
SELECT cust_last_name, cust_city, cust_credit_limit FROM customers WHERE cust_last_name BETWEEN 'A' AND 'C' AND cust_credit_limit BETWEEN 1000 AND 3000; |
What would be the outcome of the above statement?
A. It executes successfully.
B. It produces an error because the condition on CUST_LAST_NAME is invalid.
C. It executes successfully only if the CUST_CREDIT_LIMIT column does not contain any null values.
D. It produces an error because the AND operator cannot be used to combine multiple BETWEEN clauses.
55
Evaluate the following two queries:
|
SELECT cust_last_name, cust_city FROM customers WHERE cust_credit_limit IN (1000, 2000, 3000);
SELECT cust_last_name, cust_city FROM customers WHERE cust_credit_limit = 1000 OR cust_credit_limit = 2000 OR cust_credit_limit = 3000; |
Which statement is true regarding the above two queries?
A. Performance would improve in query 2.
B. Performance would degrade in query 2.
C. There would be no change in performance.
D. Performance would improve in query 2 only if there are null values in the CUST_CREDIT_LIMIT column.
解释:
56
View the Exhibit and examine the structure of the PROMOTIONS table.
Using the PROMOTIONS table, you need to find out the names and cost of all the promos done on 'TV' and 'internet' that ended in the time interval 15th March '00 to 15th October '00.
Which two queries would give the required result? (Choose two.)
|
A. SELECT promo_name, promo_cost FROM promotions WHERE promo_category IN ('TV', 'internet') AND promo_end_date BETWEEN '15-MAR-00' AND '15-OCT-00'; B. SELECT promo_name, promo_cost FROM promotions WHERE promo_category = 'TV' OR promo_category ='internet' AND promo_end_date >='15-MAR-00' OR promo_end_date <='15-OCT-00'; C. SELECT promo_name, promo_cost FROM promotions WHERE(promo_category BETWEEN 'TV' AND 'internet') AND (promo_end_date IN ('15-MAR-00','15-OCT-00')); D. SELECT promo_name, promo_cost FROM promotions WHERE (promo_category = 'TV' OR promo_category ='internet') AND (promo_end_date >='15-MAR-00' AND promo_end_date <='15-OCT-00'); |
57
The CUSTOMERS table has the following structure:
|
name Null Type CUST_ID NOT NULL NUMBER CUST_FIRST_NAME NOT NULL VARCHAR2(20) CUST_LAST_NAME NOT NULL VARCHAR2(30) CUST_INCOME_LEVEL VARCHAR2(30) CUST_CREDIT_LIMIT NUMBER |
You need to write a query that does the following tasks:
1. Display the first name and tax amount of the customers. Tax is 5% of their credit limit.
2. Only those customers whose income level has a value should be considered.
3. Customers whose tax amount is null should not be considered.
Which statement accomplishes all the required tasks?
|
A. SELECT cust_first_name, cust_credit_limit * .05 AS TAX_AMOUNT FROM customers WHERE cust_income_level IS NOT NULL AND tax_amount IS NOT NULL; B. SELECT cust_first_name, cust_credit_limit * .05 AS TAX_AMOUNT FROM customers WHERE cust_income_level IS NOT NULL AND cust_credit_limit IS NOT NULL; C. SELECT cust_first_name, cust_credit_limit * .05 AS TAX_AMOUNT FROM customers WHERE cust_income_level <> NULL AND tax_amount <> NULL; D. SELECT cust_first_name, cust_credit_limit * .05 AS TAX_AMOUNT FROM customers WHERE (cust_income_level,tax_amount) IS NOT NULL; |
58
The PART_CODE column in the SPARES table contains the following list of values:
|
PART_CODE A%_WQ123 A%BWQ123 AB_WQ123 |
Evaluate the following query:
|
SELECT part_code FROM spares WHERE part_code LIKE '%\%_WQ12%' ESCAPE '\'; |
Which statement is true regarding the outcome of the above query?
A. It produces an error.
B. It displays all values.
C. It displays only the values A%_WQ123 and AB_WQ123 .
D. It displays only the values A%_WQ123 and A%BWQ123 .
E. It displays only the values A%BWQ123 and AB_WQ123.
59
View the Exhibit and examine the data in the PRODUCTS table.
You need to display product names from the PRODUCTS table that belong to the 'Software/Other ' category with minimum prices as either $2000 or $4000 and no unit of measure. You issue the following query:
|
SELECT prod_name, prod_category, prod_min_price FROM products WHERE prod_category LIKE '%Other%' AND (prod_min_price = 2000 OR prod_min_price = 4000) AND prod_unit_of_measure <> ''; |
which statement is true regarding the above query?
A. It executes successfully but returns no result.
B. It executes successfully and returns the required result.
C. It generates an error because the condition specified for PROD_UNIT_OF_MEASURE is not valid.
D. It generates an error because the condition specified for the PROD_CATEGORY column is not valid.
60
View the Exhibit and examine the structure of CUSTOMERS table. Evaluate the following query:
|
SELECT cust_id, cust_city FROM customers WHERE cust_first_name NOT LIKE 'A_%g_%' AND cust_credit_limit BETWEEN 5000 AND 15000 AND cust_credit_limit NOT IN (7000, 11000) AND cust_city NOT BETWEEN 'A' AND 'B'; |
Which statement is true regarding the above query?
A. It executes successfully.
B. It produces an error because the condition on the CUST_CITY column is not valid.
C. It produces an error because the condition on the CUST_FIRST_NAME column is not valid.
D. It produces an error because conditions on the CUST_CREDIT_LIMIT column are not valid.
解答:
61
View the Exhibit and examine the structure of the PROMOTIONS table.
You need to generate a report of all promos from the PROMOTIONS table based on the following conditions:
1. The promo name should not begin with 'T' or 'N'.
2. The promo should cost more than $20000.
3. The promo should have ended after 1st January 2001.
Which WHERE clause would give the required result?
|
A. WHERE promo_name NOT LIKE 'T%' OR promo_name NOT LIKE 'N%' AND promo_cost > 20000 AND promo_end_date > '1-JAN-01' B. WHERE (promo_name NOT LIKE 'T%' AND promo_name NOT LIKE 'N%') OR promo_cost > 20000 OR promo_end_date > '1-JAN-01' C. WHERE promo_name NOT LIKE 'T%' AND promo_name NOT LIKE 'N%' AND promo_cost > 20000 AND promo_end_date > '1-JAN-01' D. WHERE (promo_name NOT LIKE '%T%' OR promo_name NOT LIKE '%N%') AND(promo_cost > 20000 AND promo_end_date > '1-JAN-01') |
62
View the Exhibit and examine the structure of the CUSTOMERS table.
You want to generate a report showing the last names and credit limits of all customers whose last names start with A, B,or C, and credit limit is below 10, 000.
Evaluate the following two queries:
|
SELECT cust_last_name, cust_credit_limit FROM customers WHERE (UPPER(cust_last_name) LIKE 'A%' OR UPPER(cust_last_name) LIKE 'B%' OR UPPER(cust_last_name) LIKE 'C%') AND cust_credit_limit < 10000;
SELECT cust_last_name, cust_credit_limit FROM customers WHERE UPPER(cust_last_name) BETWEEN 'A' AND 'C' AND cust_credit_limit < 10000; |
Which statement is true regarding the execution of the above queries?
A. Only the first query gives the correct result.
B. Only the second query gives the correct result.
C. Both execute successfully and give the same result.
D. Both execute successfully but do not give the required result.
63
View the Exhibit and examine the structure of the PRODUCTS table.
You want to display only those product names with their list prices where the list price is at least double the minimum price. The report should start with the product name having the maximum list price satisfying this condition.
Evaluate the following SQL statement:
|
SELECT prod_name,prod_list_price FROM products WHERE prod_list_price >= 2 * prod_min_price |
Which ORDER BY clauses can be added to the above SQL statement to get the correct output? (Choose all that apply.)
|
A. ORDER BY prod_list_price DESC, prod_name; B. ORDER BY (2*prod_min_price) DESC, prod_name; C. ORDER BY prod_name, (2*prod_min_price) DESC; D. ORDER BY prod_name DESC, prod_list_price DESC; E. ORDER BY prod_list_price DESC, prod_name DESC; |
题目解答:order by 知识

64
View the Exhibit and examine the data in the PROMO_CATEGORY and PROMO_COST columns of the PROMOTIONS table.
Evaluate the following two queries:
|
SELECT DISTINCT promo_category, to_char(promo_cost) "code" FROM promotions ORDER BY code; SELECT DISTINCT promo_category, promo_cost "code" FROM promotions ORDER BY 1; |
Which statement is true regarding the execution of the above queries?
A. Only the first query executes successfully.
B. Only the second query executes successfully.
C. Both queries execute successfully but give different results.
D. Both queries execute successfully and give the same result.
解释:
A,列的别名加了引号,order by中别名也必须加引号
SELECT DISTINCT promo_category, to_char(promo_cost) "code"
FROM sh.promotions ORDER BY "code";
SELECT DISTINCT promo_category, promo_cost "code"
FROM sh.promotions ORDER BY 1;
65
View the Exhibit and examine the structure of the CUSTOMERS table.
You have been asked to produce a report on the CUSTOMERS table showing the customers details sorted in descending order of the city and in the descending order of their income level in each city. Which query would accomplish this task?
|
A. SELECT cust_city, cust_income_level, cust_last_name FROM customers ORDER BY cust_city desc, cust_income_level DESC ; B. SELECT cust_city, cust_income_level, cust_last_name FROM customers ORDER BY cust_income_level desc, cust_city DESC; C. SELECT cust_city, cust_income_level, cust_last_name FROM customers ORDER BY (cust_city, cust_income_level) DESC; D. SELECT cust_city, cust_income_level, cust_last_name FROM customers ORDER BY cust_city, cust_income_level DESC; |
66
View the Exhibit and examine the data in the COSTS table.
You need to generate a report that displays the IDs of all products in the COSTS table whose unit price is at least 25% more than the unit cost. The details should be displayed in the descending order of 25% of the unit cost.
You issue the following query:
|
SELECT prod_id FROM costs WHERE unit_price >= unit_cost * 1.25 ORDER BY unit_cost * 0.25 DESC; |
Which statement is true regarding the above query?
A. It executes and produces the required result.
B. It produces an error because an expression cannot be used in the ORDER BY clause.
C. It produces an error because the DESC option cannot be used with an expression in the ORDER BY clause.
D. It produces an error because the expression in the ORDER BY clause should also be specified in the SELECT clause.
67
Which two statements are true regarding the ORDER BY clause? (Choose two.)
A. It is executed first in the query execution.
B. It must be the last clause in the SELECT statement.
C. It cannot be used in a SELECT statement containin g a HAVING clause.
D. You cannot specify a column name followed by an expression in this clause.
E. You can specify a combination of numeric positions and column names in this clause.
68
Which statement is true regarding the default behavior of the ORDER BY clause?
A. In a character sort, the values are case-sensitive.
B. NULL values are not considered at all by the sort operation.
C. Only those columns that are specified in the SELECT list can be used in the ORDER BY clause.
D. Numeric values are displayed from the maximum to the minimum value if they have decimal positions.
69
You need to generate a list of all customer last names with their credit limits from the CUSTOMERS table. Those customers who do not have a credit limit should appear last in the list.
Which two queries would achieve the required result? (Choose two.)
|
A. SELECT cust_last_name, cust_credit_limit FROM customers ORDER BY cust_credit_limit DESC ; B. SELECT cust_last_name, cust_credit_limit FROM customers ORDER BY cust_credit_limit; C. SELECT cust_last_name, cust_credit_limit FROM customers ORDER BY cust_credit_limit NULLS LAST; D. SELECT cust_last_name, cust_credit_limit FROM customers ORDER BY cust_last_name, cust_credit_limit NULLS LAST; |
70
View the Exhibit and examine the structure of the PRODUCTS table.
You want to display only those product names with their list prices where the list price is at least double the minimum price. The report should start with the product name having the maximum list price satisfying this condition.
Evaluate the following SQL statement:
|
SELECT prod_name, prod_list_price FROM products WHERE prod_list_price >= 2 * prod_min_price |
Which ORDER BY clauses can be added to the above SQL statement to get the correct output? (Choose all that apply.)
|
A. ORDER BY prod_list_price DESC, prod_name; B. ORDER BY (2*prod_min_price)DESC, prod_name; C. ORDER BY prod_name, (2*prod_min_price) DESC; D. ORDER BY prod_name DESC, prod_list_price DESC; E. ORDER BY prod_list_price DESC, prod_name DESC; |
71
Which arithmetic operations can be performed on a column by using a SQL function that is built into Oracle database ? (Choose three .)
A. addition
B. subtraction
C. raising to a power
D. finding the quotient
E. finding the lowest value
A,加法(SUM)
C,乘方(POWER)
E,最小值(MIN)
72
Which tasks can be performed using SQL functions built into Oracle Database ? (Choose three.)
A. displaying a date in a nondefault format
B. finding the number of characters in an expression
C. substituting a character string in a text expression with a specified string
D. combining more than two columns or expressions into a single column in the output
73
Which tasks can be performed using SQL functions that are built into Oracle database ? (Choose three .)
A. finding the remainder of a division
B. adding a number to a date for a resultant date value
C. comparing two expressions to check whether they are equal
D. checking whether a specified character exists in a given string
E. removing trailing, leading, and embedded characters from a character string
74
Which statements are true regarding single row functions? (Choose all that apply.)
A. MOD:returns the quotient of a division
B. TRUNC:can be used with NUMBER and DATE values
C. CONCAT:can be used to combine any number of values
D. SYSDATE:returns the database server current date and time
E. INSTR:can be used to find only the first occurrence of a character in a string
F. TRIM:can be used to remove all the occurrences of a character from a string
75
The following data exists in the PRODUCTS table:
|
PROD_ID PROD_LIST_PRICE 123456 152525.99 |
You issue the following query:
|
SELECT RPAD(( ROUND(prod_list_price)), 10, '*') FROM products WHERE prod_id = 123456; |
What would be the outcome?
A. 152526 ****
B. **152525.99
C. 152525** **
D. an error message
76
You need to display the first names of all customers from the CUSTOMERS table that contain the character 'e' and have the character 'a' in the second last position.
Which query would give the required output?
|
A. SELECT cust_first_name FROM customers WHERE INSTR(cust_first_name, 'e') <> 0 AND SUBSTR(cust_first_name, -2, 1) = 'a'; B. SELECT cust_first_name FROM customers WHERE INSTR(cust_first_name, 'e')<>'' AND SUBSTR(cust_first_name, -2, 1)='a'; C. SELECT cust_first_name FROM customers WHERE INSTR(cust_first_name, 'e')IS NOT NULL AND SUBSTR(cust_first_name, 1,-2)='a'; D. SELECT cust_first_name FROM customers WHERE INSTR(cust_first_name, 'e')<>0 AND SUBSTR(cust_first_name, LENGTH(cust_first_name),-2)='a'; |
77
In the CUSTOMERS table, the CUST_CITY column contains the value 'Paris' for the CUST_FIRST_NAME 'ABIGAIL'.
Evaluate the following query:
|
SELECT INITCAP(cust_first_name || ' ' || UPPER(SUBSTR(cust_city, -LENGTH(cust_city),2))) FROM customers WHERE cust_first_name = 'ABIGAIL'; |
What would be the outcome?
A. Abigail PA
B. Abigail Pa
C. Abigail IS
D. an error message
78
Evaluate the following query:
|
SELECT TRUNC(ROUND(156.00,-1),-1) FROM DUAL; |
What would be the outcome?
A. 16
B. 100
C. 160
D. 200
E. 150
解答:
79
View the Exhibit and examine the structure of the CUSTOMERS table.
In the CUSTOMERS table, the CUST_LAST_NAME column contains the values 'Anderson' and 'Ausson'. You issue the following query:
|
SELECT LOWER(REPLACE(TRIM('son' FROM cust_last_name),'An','O')) FROM CUSTOMERS WHERE LOWER(cust_last_name) LIKE 'a%n'; |
What would be the outcome?
A. 'Oder' and 'Aus'
B. an error because the TRIM function specified is not valid
C. an error because the LOWER function specified is not valid
D. an error because the REPLACE function specified is not valid
解释:TRIM函数的第一个参数应该是单个字符。
80
Which two statements are true regarding working with dates? (Choose two.)
A. The default internal storage of dates is in the numeric format.
B. The default internal storage of dates is in the character format.
C. The RR date format automatically calculates the century from the SYSDATE function and does not allow the user to enter the century.
D. The RR date format automatically calculates the century from the SYSDATE function but allows the user to enter the century if required.
81
You are currently located in Singapore and have connected to a remote database in Chicago. You issue the following command:
|
SELECT ROUND(SYSDATE - promo_begin_date, 0) FROM promotions WHERE (SYSDATE - promo_begin_date)/365 > 2; |
PROMOTIONS is the public synonym for the public database link for the PROMOTIONS table. What is the outcome?
A. an error because the ROUND function specified is invalid
B. an error because the WHERE condition specified is invalid
C. number of days since the promo started based on the current Chicago date and time
D. number of days since the promo started based on the current Singapore date and time
82
Examine the data in the CUST_NAME column of the CUSTOMERS table.
|
CUST_NAME Renske Ladwig Jason Mallin Samuel McCain Allan MCEwen Irene Mikkilineni Julia Nayer |
You need to display customers' second names where the second name starts with "Mc" or "MC." Which query gives the required output?
|
A. SELECT SUBSTR(cust_name, INSTR(cust_name, ' ') + 1) FROM customers WHERE INITCAP(SUBSTR(cust_name, INSTR(cust_name, ' ') + 1))='Mc'; B. SELECT SUBSTR(cust_name, INSTR(cust_name,' ')+1) FROM customers WHERE INITCAP(SUBSTR(cust_name, INSTR(cust_name, ' ') + 1)) LIKE 'Mc%'; C. SELECT SUBSTR(cust_name, INSTR(cust_name,' ') + 1) FROM customers WHERE SUBSTR(cust_name, INSTR(cust_name,' ') + 1) LIKE INITCAP('MC%'); D. SELECT SUBSTR(cust_name, INSTR(cust_name, ' ') + 1) FROM customers WHERE INITCAP(SUBSTR(cust_name, INSTR(cust_name, ' ') + 1)) = INITCAP('MC%'); |
83
Examine the data in the CUST_NAME column of the CUSTOMERS table.
|
CUST_NAME Lex De Haan Renske Ladwig Jose Manuel Urman Jason Mallin |
You want to extract only those customer names that have three names and display the * symbol in place of the first name as follows:
|
CUST NAME *** De Haan **** Manuel Urman |
Which two queries give the required output? (Choose two.)
|
A. SELECT LPAD(SUBSTR(cust_name, INSTR(cust_name,' ')), LENGTH(cust_name), '*') "CUST NAME" FROM customers WHERE INSTR(cust_name, ' ', 1, 2) <> 0; B. SELECT LPAD(SUBSTR(cust_name,INSTR(cust_name,' ')), LENGTH(cust_name),'*') "CUST NAME" FROM customers WHERE INSTR(cust_name, ' ', -1, 2) <> 0; C. SELECT LPAD(SUBSTR(cust_name,INSTR(cust_name,' ')), LENGTH(cust_name)- INSTR(cust_name,' '), '*') "CUST NAME" FROM customers WHERE INSTR(cust_name, ' ',-1,-2)<>0;
D. SELECT LPAD(SUBSTR(cust_name,INSTR(cust_name, ' ')), LENGTH(cust_name) - INSTR(cust_name,' '),'*') "CUST NAME" FROM customers WHERE INSTR(cust_name, ' ', 1, 2) <> 0 ; |
84
View the Exhibit and examine the structure of the EMPLOYEES table.
Examine the data in the ENAME and HIREDATE columns of the EMPLOYEES table:
|
ENAME HIREDATE SMITH 17-DEC-80 ALLEN 20-FEB-81 WARD 22-FEB-81 |
You want to generate a list of user IDs as follows:
|
USERID Smi17DEC80 All20FEB81 War22FEB81 |
You issue the following query:
|
SELECT CONCAT(SUBSTR(INITCAP(ename),1,3), REPLACE(hiredate,'-')) "USERID" FROM employees; |
What is the outcome?
A. It executes successfully and gives the correct output.
B. It executes successfully but does not give the correct output.
C. It generates an error because the REPLACE function is not valid.
D. It generates an error because the SUBSTR function cannot be nested in the CONCAT function.
85
View the Exhibit and examine the structure and data in the INVOICE table.
Which statements are true regarding data type conversion in expressions used in queries? (Choose all that apply.)
A. inv_amt ='0255982':requires explicit conversion
B. inv_date > '01-02-2008:uses implicit conversion
C. CONCAT(inv_amt,inv_date):requires explicit conversion
D. inv_date = '15-february-2008':uses implicit conversion
E. inv_no BETWEEN '101' AND '110':uses implicit conversion
B,不符合默认的日期格式,隐式类型转换会失败。
86
Examine the structure and data of the CUST_TRANS table:
|
CUST_TRANS Name Null Type CUSTNO NOT NULL CHAR(2) TRANSDATE DATE TRANSAMT NUMBER(6,2) CUSTNO TRANSDATE TRANSAMT
|
Dates are stored in the default date format dd-mon-rr in the CUST_TRANS table. Which SQL statements would execute successfully? (Choose three .)
A. SELECT transdate + '10' FROM cust_trans;
B. SELECT * FROM cust_trans WHERE transdate = '01-01-07';
C. SELECT transamt FROM cust_trans WHERE custno > '11';
D. SELECT * FROM cust_trans WHERE transdate='01-JANUARY-07';
E. SELECT custno + 'A' FROM cust_trans WHERE transamt > 2000;
87
You want to display the date for the first Mon day of the next month and issue the following command:
|
SELECT TO_CHAR(NEXT_DAY(LAST_DAY(SYSDATE),'MON'), 'dd "is the first Monday for" fmmonth rrrr') FROM DUAL; |
What is the outcome?
A. It executes successfully and returns the correct result.
B. It executes successfully but does not return the correct result.
C. It generates an error because TO_CHAR should be replaced with TO_DATE.
D. It generates an error because rrrr should be replaced by rr in the format string.
E. It generates an error because fm and double quotation marks should not be used in the format string.
88
You need to calculate the number of days from 1st January 2007 till date. Dates are stored in the default format of dd-mon-rr.
Which SQL statements would give the required output? (Choose two .)
A. SELECT SYSDATE - '01-JAN-2007' FROM DUAL;
B. SELECT SYSDATE - TO_DATE('01/JANUARY/2007') FROM DUAL;
C. SELECT SYSDATE - TO_DATE('01-JANUARY-2007') FROM DUAL;
D. SELECT TO_CHAR(SYSDATE, 'DD-MON-YYYY') - '01-JAN-2007' FROM DUAL;
E. SELECT TO_DATE(SYSDATE, 'DD/MONTH/YYYY') - '01/JANUARY/2007' FROM DUAL;
89
You need to display the date 11-oct-2007 in words as 'Eleventh of October, Two Thousand Seven'. Which SQL statement would give the required result?
|
A. SELECT TO_CHAR('11-oct-2007', 'fmDdspth "of" Month, Year') FROM DUAL; B. SELECT TO_CHAR(TO_DATE('11-oct-2007'), 'fmDdspth of month, year') FROM DUAL; C. SELECT TO_CHAR(TO_DATE('11-oct-2007'), 'fmDdthsp "of" Month, Year') FROM DUAL; D. SELECT TO_DATE(TO_CHAR('11-oct-2007','fmDdspth ''of'' Month, Year')) FROM DUAL; |
SELECT TO_CHAR(TO_DATE('11-10-2007','dd-mm-yyyy'), 'fmDdthsp "of" Month, Year')
FROM DUAL;
90
Examine the structure and data in the PRICE_LIST table:
|
name Null Type PROD_ID NOT NULL NUMBER(3) PROD_PRICE VARCHAR2(10)
PROD_ID PROD_PRICE 100 $234.55 101 $6,509.75 102 $1,234 |
You plan to give a discount of 25% on the product price and need to display the discount amount in the same format as the PROD_PRICE.
Which SQL statement would give the required result?
|
A. SELECT TO_CHAR(prod_price* .25,'$99,999.99') FROM PRICE_LIST; B. SELECT TO_CHAR(TO_NUMBER(prod_price)* .25,'$99,999.00') FROM PRICE_LIST; C. SELECT TO_CHAR(TO_NUMBER(prod_price,'$99,999.99')* .25,'$99,999.00') FROM PRICE_LIST; D. SELECT TO_NUMBER(TO_NUMBER(prod_price,'$99,999.99')* .25,'$99,999.00') FROM PRICE_LIST; |
91
View the Exhibit and examine the structure of the PROMOTIONS table. Which two SQL statements would execute successfully? (Choose two.)
|
A. UPDATE promotions SET promo_cost = promo_cost + 100 WHERE TO_CHAR(promo_end_date, 'yyyy') > '2000'; B. SELECT promo_begin_date FROM promotions WHERE TO_CHAR(promo_begin_date,'mon dd yy')='jul 01 98'; C. UPDATE promotions SET promo_cost = promo_cost + 100 WHERE promo_end_date > TO_DATE(SUBSTR('01-JAN-2000',8)); D. SELECT TO_CHAR(promo_begin_date,'dd/month') FROM promotions WHERE promo_begin_date IN (TO_DATE('JUN 01 98'), TO_DATE('JUL 01 98')); |
92
View the Exhibit and examine the data in the PROMO_NAME and PROMO_END_DATE columns of the PROMOTIONS table, and the required output format. Which two queries give the correct result? (Choose two.)
|
A. SELECT promo_name, TO_CHAR(promo_end_date,'Day') || ', ' || TO_CHAR(promo_end_date,'Month') || TO_CHAR(promo_end_date,'DD, YYYY') AS last_day FROM promotions; B. SELECT promo_name, TO_CHAR (promo_end_date, 'fxDay') || ', ' || TO_CHAR(promo_end_date,'fxMonth') || TO_CHAR(promo_end_date,'fxDD, YYYY') AS last_day FROM promotions; C. SELECT promo_name, TRIM(TO_CHAR(promo_end_date,'Day')) || ', ' || TRIM(TO_CHAR(promo_end_date,'Month')) || TRIM(TO_CHAR(promo_end_date,'DD, YYYY')) AS last_day FROM promotions; D. SELECT promo_name, TO_CHAR(promo_end_date,'fmDay') || ',' || TO_CHAR(promo_end_date,'fmMonth') || TO_CHAR(promo_end_date,'fmDD, YYYY') AS last_day FROM promotions; |
93
View the Exhibit and examine the structure of the CUSTOMERS table.
Using the CUSTOMERS table, you need to generate a report that shows an increase in the credit limit by 15% for all customers. Customers whose credit limit has not been entered should have the message " Not Available" displayed.
Which SQL statement would produce the required result?
|
A. SELECT NVL(cust_credit_limit,'Not Available') *.15 "NEW CREDIT" FROM customers; B. SELECT NVL(cust_credit_limit *.15,'Not Available') "NEW CREDIT" FROM customers; C. SELECT TO_CHAR(NVL(cust_credit_limit*.15,'Not Available')) "NEW CREDIT" FROM customers; D. SELECT NVL(TO_CHAR(cust_credit_limit*.15),'Not Available') "NEW CREDIT" FROM customers; |
94
Examine the structure of the PROGRAMS table:
|
name Null Type PROG_ID NOT NULL NUMBER(3) PROG_COST NUMBER(8,2) START_DATE NOT NULL DATE END_DATE DATE |
Which two SQL statements would execute successfully? (Choose two.)
|
A. SELECT NVL(ADD_MONTHS(END_DATE, 1), SYSDATE) FROM programs; B. SELECT TO_DATE(NVL(SYSDATE - END_DATE, SYSDATE)) FROM programs; C. SELECT NVL(MONTHS_BETWEEN(start_date,end_date),'Ongoing') FROM programs; D. SELECT NVL(TO_CHAR(MONTHS_BETWEEN(start_date, end_date)),'Ongoing') FROM programs; |
-
如果END_DATE不为NULL,则返回的为数字,再做TO_DATE就会出错。
-
NVL函数要求第一个参数,与第二个参数的类型要兼容。
95
The PRODUCTS table has the following structure:
|
name Null Type PROD_ID NOT NULL NUMBER(4) PROD_NAME VARCHAR2(25) PROD_EXPIRY_DATE DATE |
Evaluate the following two SQL statements:
|
SELECT prod_id, NVL2(prod_expiry_date, prod_expiry_date + 15, '') FROM products; SELECT prod_id, NVL(prod_expiry_date, prod_expiry_date + 15) FROM products; |
Which statement is true regarding the outcome?
A. Both the statements execute and give different results.
B. Both the statements execute and give the same result.
C. Only the first SQL statement executes successfully.
D. Only the second SQL statement executes successfully.
解答:不为空的话返回第二个表达式的值,为空的话返回第三个表达式的值
96
Examine the structure of the INVOICE table.
|
name Null Type INV_NO NOT NULL NUMBER(3) INV_DATE DATE INV_AMT NUMBER(10,2) |
Which two SQL statements would execute successfully? (Choose two.)
|
A. SELECT inv_no,NVL2(inv_date,'Pending','Incomplete') FROM invoice; B. SELECT inv_no,NVL2(inv_amt,inv_date,'Not Available') FROM invoice; C. SELECT inv_no,NVL2(inv_date,sysdate-inv_date,sysdate) FROM invoice; D. SELECT inv_no,NVL2(inv_amt,inv_amt*.25,'Not Available') FROM invoice; |
B,参数类型不一致,隐式转换失败
D,如果第二个参数为numeric,则会比较exp2和exp3哪个具有最高的数字等级。
这里的C答案不好理解,执行后的结果:
SELECT inv_no,NVL2(inv_date,sysdate-inv_date,sysdate) FROM invoice;
The NVL2 Function
The NVL2 function provides an enhancement to NVL but serves a very similar purpose. It
evaluates whether a column or expression of any data type is null or not.
The NVL function
If the first term is not null, the second parameter is returned, else the third parameter is returned.
Recall that the NVL function is different since it returns the original term if it is not null. The NVL2
function takes three mandatory parameters. Its syntax is NVL2(original, ifnotnull, ifnull), where
original represents the term being tested. Ifnotnull is returned if original is not null, and ifnull is
returned if original is null. The data types of the ifnotnull and ifnull parameters must be compatible,
and they cannot be of type LONG.
They must either be of the same type, or it must be possible to convert ifnull to the type of the
ifnotnull parameter. The data type returned by the NVL2 function is the same as that of the
ifnotnull parameter.
97(here)
View the Exhibit and evaluate the structure and data in the CUST_STATUS table. You issue the following SQL statement:
|
SELECT custno, NVL2(NULLIF(amt_spent, credit_limit), 0, 1000) "BONUS" FROM cust_status; |
Which statement is true regarding the execution of the above query?
A. It produces an error because the AMT_SPENT column contains a null value.
B. It displays a bonus of 1000 for all customers whose AMT_SPENT is less than CREDIT_LIMIT.
C. It displays a bonus of 1000 for all customers whose AMT_SPENT equals CREDIT_LIMIT, or AMT_SPENT is null .
D. It produces an error because the TO_NUMBER function must be used to convert the result of the NULLIF function before it can be used by the NVL2 function.
只是说NULLIF的第一个参数不能指定为NULL字面量,但来自列中的NULL是可以接受的。
|
CREATE TABLE cust_status ( CustNo NUMBER(2) NOT NULL, AmtSpent NUMBER(10, 2), CreditLimit NUMBER(10, 2) ); INSERT INTO cust_status VALUES(1, 1000, 1000); INSERT INTO cust_status VALUES(2, 2000, 2500); INSERT INTO cust_status VALUES(3, NULL, 3000); INSERT INTO cust_status VALUES(4, 3000, 2800); SELECT custno, NVL2(NULLIF(amtspent, creditlimit), 0, 1000) "BONUS" FROM cust_status; |
98
Which statement is true regarding the COALESCE function?
A. It can have a maximum of five expressions in a list.
B. It returns the highest NOT NULL value in the list for all rows.
C. It requires that all expressions in the list must be of the same data type.
D. It requires that at least one of the expressions in the list must have a NOT NULL value.
99
View the Exhibit and examine the structure of the PROMOTIONS table.
Using the PROMOTIONS table, you need to find out the average cost for all promos in the ranges $0-2000 and $2000-5000 in category A ,You issue the following SQL statement:
|
SELECT AVG(CASE WHEN promo_cost BETWEEN 0 AND 2000 AND promo_category='A' then promo_cost ELSE null END) "CAT_2000A", AVG(CASE WHEN promo_cost BETWEEN 2001 AND 5000 AND promo_category='A' THEN promo_cost ELSE null END) "CAT_5000A" FROM promotions; |
What would be the outcome?
A. It executes successfully and gives the required result.
B. It generates an error because NULL cannot be specified as a return value.
C. It generates an error because CASE cannot be used with group functions.
D. It generates an error because multiple conditions cannot be specified for the WHEN clause.
100
View the Exhibit and examine the structure of the PROMOTIONS table. Which SQL statements are valid? (Choose all that apply.)
|
A. SELECT promo_id, DECODE(NVL(promo_cost,0), promo_cost, promo_cost * 0.25, 100) "Discount" FROM promotions; B. SELECT promo_id, DECODE(promo_cost, 10000, DECODE(promo_category, 'G1', promo_cost *.25, NULL), NULL) "Catcost" FROM promotions; C. SELECT promo_id, DECODE(NULLIF(promo_cost, 10000), NULL, promo_cost*.25, 'N/A') "Catcost" FROM promotions; D. SELECT promo_id, DECODE(promo_cost, >10000, 'High', <10000, 'Low') "Range" FROM promotions; |
C,decode会将所有的结果值转换成第一个结果值的类型,因此'N/A'转数字会失败。
D,decode中每个比较的对象应该为一个表达式。(>10000,不为表达式)
101
Examine the data in the PROMO_BEGIN_DATE column of the PROMOTIONS table:
|
PROMO_BEGIN _DATE 04-jan-00 10-jan-00 15-dec-99 18-oct-98 22-aug-99 |
You want to display the number of promotions started in 1999 and 2000. Which query gives the correct output?
|
A. SELECT SUM(DECODE(SUBSTR(promo_begin_date, 8), '00', 1, 0)) "2000", SUM(DECODE(SUBSTR(promo_begin_date, 8), '99', 1, 0)) "1999" FROM promotions; B. SELECT SUM(CASE TO_CHAR(promo_begin_date,'yyyy') WHEN '99' THEN 1 ELSE 0 END) "1999", SUM(CASE TO_CHAR(promo_begin_date,'yyyy') WHEN '00' THEN 1 ELSE 0 END) "2000" FROM promotions; C. SELECT COUNT(CASE TO_CHAR(promo_begin_date,'yyyy') WHEN '99' THEN 1 ELSE 0 END) "1999", COUNT(CASE TO_CHAR(promo_begin_date,'yyyy') WHEN '00' THEN 1 ELSE 0 END) "2000" FROM promotions; D. SELECT COUNT(DECODE(SUBSTR(TO_CHAR(promo_begin_date,'yyyy'), 8), '1999', 1, 0)) "1999", COUNT(DECODE(SUBSTR(TO_CHAR(promo_begin_date,'yyyy'), 8), '2000', 1,0)) "2000" FROM promotions; |
B,是分开统计的不符合条件
C,to_char转换之后应该是四位的年
D,取子串时第2个参数应该指定为1
102
Examine the structure of the TRANSACTIONS table:
|
name Null Type TRANS_ID NOT NULL NUMBER(3) CUST_NAME VARCHAR2(30) TRANS_DATE DATE TIMESTAMPTRANS_AMT NUMBER(10,2) |
You want to display the date, time, and transaction amount of transactions that where done before 12 noon. The value zero should be displayed for transactions where the transaction amount has not been entered.
Which query gives the required result?
|
A. SELECT TO_CHAR(trans_date,'dd-mon-yyyy hh24:mi:ss'), TO_CHAR(trans_amt,'$99999999D99') FROM transactions WHERE TO_NUMBER(TO_DATE(trans_date,'hh24')) < 12 AND COALESCE(trans_amt, NULL)<>NULL; B. SELECT TO_CHAR(trans_date,'dd-mon-yyyy hh24:mi:ss'), NVL(TO_CHAR(trans_amt,'$99999999D99'),0) FROM transactions WHERE TO_CHAR(trans_date,'hh24') < 12; C. SELECT TO_CHAR(trans_date,'dd-mon-yyyy hh24:mi:ss'), COALESCE(TO_NUMBER(trans_amt,'$99999999.99'),0) FROM transactions WHERE TO_DATE(trans_date,'hh24') < 12; D. SELECT TO_DATE (trans_date,'dd-mon-yyyy hh24:mi:ss'), NVL2(trans_amt,TO_NUMBER(trans_amt,'$99999999.99'), 0) FROM transactions WHERE TO_DATE(trans_date,'hh24') < 12; |
A,<>NULL就错了
C,D,不应该调用TO_NUMBER()函数
103
Examine the structure of the TRANSACTIONS table:
|
name Null Type TRANS_ID NOT NULL NUMBER(3) CUST_NAME VARCHAR2(30) TRANS_DATE DATE TRANS_AMT NUMBER(10,2) |
You want to display the transaction date and specify whether it is a weekday or weekend. Evaluate the following two queries:
|
SELECT TRANS_DATE, CASE WHEN TRIM(TO_CHAR(trans_date,'DAY')) IN ('SATURDAY','SUNDAY') THEN 'weekend' ELSE 'weekday' END "Day Type" FROM transactions;
SELECT TRANS_DATE, CASE WHEN TO_CHAR(trans_date,'DAY') BETWEEN 'MONDAY' AND 'FRIDAY' THEN 'weekday' ELSE 'weekend' END "Day Type" FROM transactions; |
Which statement is true regarding the above queries?
A. Both give wrong results.
B. Both give the correct result.
C. Only the first query gives the correct result.
D. Only the second query gives the correct result.
104
Examine the structure of the PROMOS table:
|
name Null Type PROMO_ID NOT NULL NUMBER(3) PROMO_NAME VARCHAR2(30) PROMO_START_DATE NOT NULL DATE PROMO_END_DATE DATE |
You want to generate a report showing promo names and their duration (number of days). If the PROMO_END_DATE has not been entered, the message 'ONGOING' should be displayed.
Which queries give the correct output? (Choose all that apply.)
|
A. SELECT promo_name, TO_CHAR(NVL(promo_end_date -promo_start_date,'ONGOING')) FROM promos; B. SELECT promo_name, COALESCE(TO_CHAR(promo_end_date - promo_start_date),'ONGOING') FROM promos; C. SELECT promo_name, NVL(TO_CHAR(promo_end_date -promo_start_date),'ONGOING') FROM promos; D. SELECT promo_name, DECODE(promo_end_date - promo_start_date, NULL, 'ONGOING',promo_end_date - promo_start_date) FROM promos; E. SELECT promo_name, decode(coalesce(promo_end_date,promo_start_date), null,'ONGOING', promo_end_date - promo_start_date) FROM promos; |
105
Examine the structure of the PROMOS table:
|
name Null Type PROMO_ID NOT NULL NUMBER(3) PROMO_NAME VARCHAR2(30) PROMO_START_DATE NOT NULL DATE PROMO_END_DATE NOT NULL DATE |
You want to display the list of promo names with the message 'Same Day' for promos that started and ended on the same day.
Which query gives the correct output?
|
A. SELECT promo_name, NVL(NULLIF(promo_start_date, promo_end_date), 'Same Day') FROM promos; B. SELECT promo_name, NVL(TRUNC(promo_end_date - promo_start_date), 'Same Day') FROM promos; C. SELECT promo_name, NVL2(TO_CHAR(TRUNC(promo_end_date-promo_start_date)), NULL,'Same Day') FROM promos; D. SELECT promo_name, DECODE((NULLIF(promo_start_date, promo_end_date)), NULL,'Same day') FROM promos; |
106
Examine the data in the LIST_PRICE and MIN_PRICE columns of the PRODUCTS table:
|
LIST_PRICE MIN_PRICE 10000 8000 20000 30000 30000 |
Which two expressions give the same output? (Choose two.)
|
A. NVL(NULLIF(list_price, min_price), 0) B. NVL(COALESCE(list_price, min_price), 0) C. NVL2(COALESCE(list_price, min_price), min_price, 0) D. COALESCE(NVL2(list_price, list_price, min_price), 0) |
A,肯定不对,决定list_price和min_price是否相等。
107
View the Exhibit and examine the structure and data in the INVOICE table. Which two SQL statements would execute successfully?(Choose two.)
|
A. SELECT AVG(inv_date) FROM invoice; B. SELECT MAX(inv_date),MIN(cust_id) FROM invoice; C. SELECT MAX(AVG(SYSDATE - inv_date)) FROM invoice; D. SELECT AVG( inv_date - SYSDATE), AVG(inv_amt) FROM invoice; |
-
AVG只能应用于数值类型
-
分组函数嵌套使用,需要使用GROUP BY子句。
108
Which two statements are true regarding the COUNT function? (Choose two.)
A. The COUNT function can be used only for CHAR, VARCHAR2, and NUMBER data types.
B. COUNT(*) returns the number of rows including duplicate rows and rows containing NULL value in any of the columns.
C. COUNT(cust_id) returns the number of rows including rows with duplicate customer IDs and NULL value in the CUST_ID column.
D. COUNT(DISTINCT inv_amt) returns the number of rows excluding rows containing duplicates and NULL values in the INV_AMT column.
E. A SELECT statement using the COUNT function with a DISTINCT keyword cannot have a WHERE clause.
C,包含重复的值,但不包含空值。
E,可以有WHERE子句,先过滤掉不需要的行。
109
Examine the structure of the MARKS table:
|
name Null Type STUDENT_ID NOT NULL VARCHAR2(4) STUDENT_NAME VARCHAR2(25) SUBJECT1 NUMBER(3) SUBJECT2 NUMBER(3) SUBJECT3 NUMBER(3) |
Which two statements would execute successfully? (Choose two.)
|
A. SELECT student_name,subject1 FROM marks WHERE subject1 > AVG(subject1); B. SELECT student_name,SUM(subject1) FROM marks WHERE student_name LIKE 'R%'; C. SELECT SUM(subject1+subject2+subject3) FROM marks WHERE student_name IS NULL; D. SELECT SUM(DISTINCT NVL(subject1,0)), MAX(subject1) FROM marks WHERE subject1 > subject2; |
110
View the Exhibit and examine the structure of the CUSTOMERS table.
Using the CUSTOMERS table, you need to generate a report that shows the average credit limit for customers in WASHINGTON and NEW YORK.
Which SQL statement would produce the required result?
|
A. SELECT cust_city, AVG(cust_credit_limit) FROM customers WHERE cust_city IN ('WASHINGTON','NEW YORK') GROUP BY cust_credit_limit, cust_city; B. SELECT cust_city, AVG(cust_credit_limit) FROM customers WHERE cust_city IN ('WASHINGTON','NEW YORK') GROUP BY cust_city,cust_credit_limit; C. SELECT cust_city, AVG(cust_credit_limit) FROM customers WHERE cust_city IN ('WASHINGTON','NEW YORK') GROUP BY cust_city; D. SELECT cust_city, AVG(NVL(cust_credit_limit,0)) FROM customers WHERE cust_city IN ('WASHINGTON','NEW YORK'); |
111
View the Exhibit and examine the structure of the CUSTOMERS table.
Which statement would display the highest credit limit available in each income level in each city in the CUSTOMERS table?
|
A. SELECT cust_city, cust_income_level, MAX(cust_credit_limit ) FROM customers GROUP BY cust_city, cust_income_level, cust_credit_limit; B. SELECT cust_city, cust_income_level, MAX(cust_credit_limit) FROM customers GROUP BY cust_city, cust_income_level; C. SELECT cust_city, cust_income_level, MAX(cust_credit_limit) FROM customers GROUP BY cust_credit_limit, cust_income_level, cust_city ; D. SELECT cust_city, cust_income_level, MAX(cust_credit_limit) FROM customers GROUP BY cust_city, cust_income_level, MAX(cust_credit_limit); |
112
View the Exhibit and examine the structure of the PROMOTIONS table. Evaluate the following SQL statement:
|
SELECT promo_category, AVG(promo_cost) Avg_Cost, AVG(promo_cost)*.25 Avg_Overhead FROM promotions WHERE UPPER(promo_category) IN ('TV', 'INTERNET','POST') GROUP BY Avg_Cost ORDER BY Avg_Overhead; |
The above query generates an error on execution.
Which clause in the above SQL statement causes the error?
A. WHERE
B. SELECT
C. GROUP BY
D. ORDER BY
应该是按promo_category分组
113
Examine the structure of the ORDERS table:
|
Name Null Type ORDER_ID NOT NULL NUMBER(12) ORDER_DATE NOT NULL TIMESTAMP(6) CUSTOMER_ID NOT NULL NUMBER(6) ORDER_STATUS NUMBER(2) ORDER_TOTAL NUMBER(8,2) |
You want to find the total value of all the orders for each year and issue the following command:
|
SELECT TO_CHAR(order_date,'rr'), SUM(order_total) FROM orders GROUP BY TO_CHAR(order_date,'yyyy'); |
Which statement is true regarding the outcome?
A. It executes successfully and gives the correct output.
B. It gives an error because the TO_CHAR function is not valid.
C. It executes successfully but does not give the correct output.
D. It gives an error because the data type conversion in the SELECT list does not match the data type conversion in the GROUP BY clause.
114
View the Exhibit and examine the structure of the SALES table.
The following query is written to retrieve all those product ID s from the SALES table that have more than 55000 sold and have been ordered more than 10 times.
|
SELECT prod_id FROM sales WHERE quantity_sold > 55000 AND COUNT(*) > 10 GROUP BY prod_id HAVING COUNT(*)>10; |
Which statement is true regarding this SQL statement?
A. It executes successfully and generates the required result.
B. It produces an error because COUNT(*) should be specified in the SELECT clause also.
C. It produces an error because COUNT(*) should be only in the HAVING clause and not in the WHERE clause.
D. It executes successfully but produces no result because COUNT(prod_id) should be used instead of COUNT(*).
115
View the Exhibit and examine the structure of the CUSTOMERS table. Evaluate the following SQL statement:
|
SELECT cust_city, COUNT(cust_last_name) FROM customers WHERE cust_credit_limit > 1000 GROUP BY cust_city HAVING AVG(cust_credit_limit) BETWEEN 5000 AND 6000; |
Which statement is true regarding the outcome of the above query?
A. It executes successfully.
B. It returns an error because the BETWEEN operator cannot be used in the HAVING clause.
C. It returns an error because WHERE and HAVING clauses cannot be used in the same SELECT statement.
D. It returns an error because WHERE and HAVING clauses cannot be used to apply conditions on the same column.
116
Examine the data in the ORD_ITEMS table:
|
ORD_NO ITEM_NO QTY
|
You want to find out if there is any item in the table for which the average maximum quantity is more than 50.
You issue the following query:
|
SELECT AVG(MAX(qty)) FROM ord_items GROUP BY item_no HAVING AVG(MAX(qty)) > 50; |
Which statement is true regarding the outcome of this query?
A. It executes successfully and gives the correct output.
B. It gives an error because the HAVING clause is not valid.
C. It executes successfully but does not give the correct output.
D. It gives an error because the GROUP BY expression is not valid.
会显示分组函数嵌套太深。
117
Which statements are true regarding the WHERE and HAVING clauses in a SELECT statement? (Choose all that apply.)
A. The HAVING clause can be used with aggregate functions in subqueries.
B. The WHERE clause can be used to exclude rows after dividing them into groups.
C. The WHERE clause can be used to exclude rows before dividing them into groups.
D. The aggregate functions and columns used in the HAVING clause must be specified in the SELECT list of the query.
E. The WHERE and HAVING clauses can be used in the same statement only if they are applied to different columns in the table.
118
View the Exhibit and examine the structure of the PROMOTIONS table. Examine the following two SQL statements:
|
-- Statement 1 SELECT promo_category, SUM(promo_cost) FROM promotions WHERE promo_end_date-promo_begin_date > 30 GROUP BY promo_category; --Statement 2 SELECT promo_category,sum(promo_cost) FROM promotions GROUP BY promo_category HAVING MIN(promo_end_date-promo_begin_date)>30; |
Which statement is true regarding the above two SQL statements?
A. statement 1 gives an error, statement 2 executes successfully
B. statement 2 gives an error, statement 1 executes successfully
C. statement 1 and statement 2 execute successfully and give the same output
D. statement 1 and statement 2 execute successfully and give a different output
SELECT promo_category, SUM(promo_cost) FROM sh.promotions
WHERE promo_end_date-promo_begin_date > 30 GROUP BY promo_category;
SELECT promo_category,sum(promo_cost) FROM sh.promotions
GROUP BY promo_category
HAVING MIN(promo_end_date-promo_begin_date)>30;
119
Examine the data in the ORD_ITEMS table:
|
ORD_NO ITEM_NO QTY
|
Evaluate the following query:
|
SELECT item_no, AVG(qty) FROM ord_items HAVING AVG(qty) > MIN(qty) * 2 GROUP BY item_no; |
Which statement is true regarding the outcome of the above query?
A. It gives an error because the HAVING clause should be specified after the GROUP BY clause.
B. It gives an error because all the aggregate functions used in the HAVING clause must be specified in the SELECT list.
C. It displays the item nos with their average quantity where the average quantity is more than double the minimum quantity of that item in the table.
D. It displays the item nos with their average quantity where the average quantity is
more than double the overall minimum quantity of all the items in the table.
A,Having子句可以放在Group By子句之前。
120
View the Exhibits and examine the structures of the PRODUCTS, SALES, and CUSTOMERS tables. You issue the following query:
|
SELECT p.prod_id, prod_name, prod_list_price, quantity_sold, cust_last_name FROM products p NATURAL JOIN sales s NATURAL JOIN customers c WHERE prod_id =148; |
Which statement is true regarding the outcome of this query?
A. It executes successfully.
B. It produces an error because the NATURAL join can be used only with two tables.
C. It produces an error because a column used in the NATURAL join cannot have a qualifier.
D. It produces an error because all columns used in the NATURAL join should have a qualifier.
ORA-25155: NATURAL 联接中使用的列不能有限定词
25155, 00000, "column used in NATURAL join cannot have qualifier"
// *Cause: Columns that are used for a named-join (either a NATURAL join
// or a join with a USING clause) cannot have an explicit qualifier.
// *Action: Remove the qualifier.
正确,去掉p.:
SELECT prod_id,
prod_name,
prod_list_price,
quantity_sold,
cust_last_name
FROM sh.products p NATURAL
JOIN sh.sales s NATURAL
JOIN sh.customers c
WHERE prod_id = 148;
121
Which two statements are true regarding the USING clause in table joins? (Choose two .)
A. It can be used to join a maximum of three tables.
B. It can be used to restrict the number of columns used in a NATURAL join.
C. It can be used to access data from tables through equijoins as well as nonequijoins.
D. It can be used to join tables that have columns with the same name and compatible data types.
122
View the Exhibit for the structure of the STUDENT and FACULTY tables. You need to display the faculty name followed by the number of students handled by the faculty at the base location. Examine the following two SQL statements:
|
--statement1 SELECT faculty_name, COUNT(student_id) FROM student JOIN faculty USING (faculty_id, location_id) GROUP BY faculty_name;
--statement2 SELECT faculty_name, COUNT(student_id) FROM student NATURAL JOIN faculty GROUP BY faculty_name; |
Which statement is true regarding the outcome?
-
Only statement 1 executes successfully and gives the required result.
-
Only statement 2 executes successfully and gives the required result.
-
Both statements 1 and 2 execute successfully and give different results.
-
Both statements 1 and 2 execute successfully and give the same required result.
|
CREATE TABLE Student ( StudentID NUMBER(2) NOT NULL, StudentName VARCHAR2(20), FacultyID VARCHAR2(2), LocationID NUMBER(2) );
CREATE TABLE Faculty ( FacultyID NUMBER(2) NOT NULL, FacultyName VARCHAR2(20), LocationID NUMBER(2) ); |
123
View the Exhibits and examine the structures of the PRODUCTS, SALES, and CUSTOMERS tables. You need to generate a report that gives details of the customer's last name, name of the product, and the quantity sold for all customers in ' Tokyo' .Which two queries give the required result? (Choose two.)
|
A. SELECT c.cust_last_name, p.prod_name, s.quantity_sold FROM sales s JOIN products p USING(prod_id) JOIN customers c USING(cust_id) WHERE c.cust_city='Tokyo'; B. SELECT c.cust_last_name, p.prod_name, s.quantity_sold FROM products p JOIN sales s JOIN customers c ON(p.prod_id=s.prod_id) ON(s.cust_id=c.cust_id) WHERE c.cust_city='Tokyo'; C. SELECT c.cust_last_name, p.prod_name, s.quantity_sold FROM products p JOIN sales s ON(p.prod_id=s.prod_id) JOIN customers c ON(s.cust_id=c.cust_id) AND c.cust_city='Tokyo'; D. SELECT c.cust_id,c.cust_last_name,p.prod_id, p.prod_name, s.quantity_sold FROM products p JOIN sales s USING(prod_id) JOIN customers c USING(cust_id) WHERE c.cust_city='Tokyo'; |
ON和WHERE可以同时使用,ON后面还可以接AND增加过滤条件。
124
View the Exhibit and examine the structure of the PROMOTIONS, SALES, and CUSTOMER tables. You need to generate a report showing the promo name along with the customer name for all products that were sold during their promo campaign and before 30th October 2007. You issue the following query:
|
SELECT promo_name, cust_name FROM promotions p JOIN sales s ON(time_id BETWEEN promo_begin_date AND promo_end_date) JOIN customer c ON (s.cust_id = c.cust_id) AND time_id < '30-oct-2007'; |
Which statement is true regarding the above query?
A. It executes successfully and gives the required result.
B. It executes successfully but does not give the required result.
C. It produces an error because the join order of the tables is incorrect.
D. It produces an error because equijoin and nonequijoin conditions cannot be used in the same SELECT statement.
Promotions表和sales表进行连接时,除了要指定时间在相应的范围外,还要指定promo_id相等。
125
Examine the structure of the CUSTOMERS table:
|
name Null Type CUSTNO NOT NULL NUMBER(3) CUSTNAME NOT NULL VARCHAR2(25) CUSTADDRESS VARCHAR2(35) CUST_CREDIT_LIMIT NUMBER(5) |
CUSTNO is the PRIMARY KEY in the table. You want to find out if any customers' details have been entered more than once using different CUSTNO, by listing all the duplicate names. Which two methods can you use to get the required result? (Choose two.)
A. self-join
B. subquery
C. full outer-join with self-join
D. left outer-join with self-join
E. right outer-join with self-join
126
View the Exhibit and examine the data in the PROJ_TASK_DETAILS table.
The PROJ_TASK_DETAILS table stores information about tasks involved in a project and the relation between them. The BASED_ON column indicates dependencies between tasks. Some tasks do not depend on the completion of any other tasks. You need to generate a report showing all task IDs, the corresponding task ID they are dependent on, and the name of the employee in charge of the task it depends on. Which query would give the required result?
|
A. SELECT p.task_id, p.based_on, d.task_in_charge FROM proj_task_details p JOIN proj_task_details d ON (p.based_on = d.task_id); B. SELECT p.task_id, p.based_on, d.task_in_charge FROM proj_task_details p LEFT OUTER JOIN proj_task_details d ON (p.based_on = d.task_id); C. SELECT p.task_id, p.based_on, d.task_in_charge FROM proj_task_details p FULL OUTER JOIN proj_task_details d ON (p.based_on = d.task_id); D. SELECT p.task_id, p.based_on, d.task_in_charge FROM proj_task_details p JOIN proj_task_details d ON (p.task_id = d.task_id); |
127
Examine the data in the CUSTOMERS table:
You want to list all cities that have more than one customer along with the customer details. Evaluate the following query:
SQL>SELECT c1.custname, c1.city
FROM Customers c1 Customers c2
ON (c1.city = c2.city AND c1.custname <> c2.custname);
Which two JOIN options can be used in the blank in the above query to give the correct output? (Choose two.)
A. JOIN
B. NATURAL JOIN
C. LEFT OUTER JOIN
D. FULL OUTER JOIN
E. RIGHT OUTER JOIN
|
CREATE TABLE Customers ( custno NUMBER(2), custname VARCHAR2(10), city VARCHAR2(10) ); INSERT INTO Customers VALUES(1, 'KING', 'SEATTLE'); INSERT INTO Customers VALUES(2, 'GREEN', 'BOSTON'); INSERT INTO Customers VALUES(3, 'KOCHAR', 'SEATTLE'); INSERT INTO Customers VALUES(4, 'SMITH', 'NEWYORK'); |
128
View the Exhibits and examine the structures of the CUSTOMERS, SALES, and COUNTRIES tables. You need to generate a report that shows all country names, with corresponding customers (if any) and sales details (if any), for all customers.
Which FROM clause gives the required result?
|
A. FROM sales JOIN customers USING (cust_id) FULL OUTER JOIN countries USING (country_id); B. FROM sales JOIN customers USING (cust_id) RIGHT OUTER JOIN countries USING (country_id); C. FROM customers LEFT OUTER JOIN sales USING (cust_id) RIGHT OUTER JOIN countries USING (country_id); D. FROM customers LEFT OUTER JOIN sales USING (cust_id) LEFT OUTER JOIN countries USING (country_id); |
即所有的国家需要全部显示。Customers表与sales表连接时,用户需要全部显示。
129
View the Exhibits and examine the structures of the PROMOTIONS and SALES tables. Evaluate the following SQL statement:
|
SELECT p.promo_id, p.promo_name, s.prod_id FROM sales s RIGHT OUTER JOIN promotions p ON (s.promo_id = p.promo_id) |
Which statement is true regarding the output of the above query?
A. It gives the details of promos for which there have been sales.
B. It gives the details of promos for which there have been no sales.
C. It gives details of all promos irrespective of whether they have resulted in a sale or not.
D. It gives details of product ID s that have been sold irrespective of whether they had a promo or not.
130
View the Exhibit and examine the data in the EMPLOYEES table:
You want to display all the employee names and their corresponding manager names. Evaluate the following query:
SELECT e.employee_name "EMP NAME", m.employee_name "MGR NAME"
FROM employees e employees m
ON e.manager_id = m.employee_id;
Which JOIN option can be used in the blank in the above query to get the required output?
A. only inner JOIN
B. only FULL OUTER JOIN
C. only LEFT OUTER JOIN
D. only RIGHT OUTER JOIN
131
View the Exhibit and examine the structure of the PRODUCT, COMPONENT, and PDT_COMP tables.
In PRODUCT table, PDTNO is the primary key.
In COMPONENT table, COMPNO is the primary key.
In PDT_COMP table, (PDTNO,COMPNO) is the primary key, PDTNO is the foreign key referencing PDTNO in PRODUCT table and COMPNO is the foreign key referencing the COMPNO in COMPONENT table.
You want to generate a report listing the product names and their corresponding component names, if the component names and product names exist.
Evaluate the following query:
|
SELECT pdtno, pdtname, compno, compname FROM product pdt_comp USING (pdtno) component USING(compno) WHERE compname IS NOT NULL; |
Which combination of joins used in the blanks in the above query gives the correct output?
A. JOIN; JOIN
B. FULL OUTER JOIN; FULL OUTER JOIN
C. RIGHT OUTER JOIN; LEFT OUTER JOIN
D. LEFT OUTER JOIN; RIGHT OUTER JOIN
132
View the Exhibit and examine the structure of the SALES and PRODUCTS tables.
In the SALES table, PROD_ID is the foreign key referencing PROD_ID in the PRODUCTS table, You want to list each product ID and the number of times it has been sold. Evaluate the following query:
|
SELECT p.prod_id, COUNT(s.prod_id) FROM products p sales s ON p.prod_id = s.prod_id GROUP BY p.prod_id; |
Which two JOIN options can be used in the blank in the above query to get the required output? (Choose two.)
A. JOIN
B. FULL OUTER JOIN
C. LEFT OUTER JOIN
D. RIGHT OUTER JOIN
133
Which two statements are true regarding subqueries? (Choose two.)
A. A subquery can retrieve zero or more rows.
B. Only two subqueries can be placed at one level.
C. A subquery can be used only in SQL query statements.
D. A subquery can appear on either side of a comparison operator.
E. There is no limit on the number of subquery levels in the WHERE clause of a SELECT statement.
|
-- B错误 SELECT a.empno, a.ename, b.job, b.sal, c. deptno FROM (SELECT empno, ename FROM emp) a, (SELECT empno, job, sal FROM emp) b, (SELECT empno, deptno FROM emp) c WHERE a.empno = b.empno AND a.empno = c.empno; -- D正确 SELECT * FROM emp WHERE (SELECT sal FROM emp WHERE empno = 7369) = sal; |
E,错误,WHERE子句中的子查询的嵌套深度最大为255
134
Where can subqueries be used? (Choose all that apply.)
A. field names in the SELECT statement
B. the FROM clause in the SELECT statement
C. the HAVING clause in the SELECT statement
D. the GROUP BY clause in the SELECT statement
E. the WHERE clause in only the SELECT statement
F. the WHERE clause in SELECT as well as all DML statements
135
Which three statements are true regarding subqueries? (Choose three.)
A. Subqueries can contain GROUP BY and ORDER BY clauses.
B. Main query and subquery can get data from different tables.
C. Main query and subquery must get data from the same tables.
D. Subqueries can contain ORDER BY but not the GROUP BY clause.
E. Only one column or expression can be compared between the main query and subquery.
F. Multiple columns or expressions can be compared between the main query and subquery.
136
View the Exhibit and examine the structure of the PRODUCTS table. Which two tasks would require subqueries? (Choose two.)
A. Display the minimum list price for each product status.
B. Display all suppliers whose list price is less than 1000.
C. Display the number of products whose list price is more than the average list price.
D. Display the total number of products supplied by supplier 102 and have product status as 'obsolete'.
E. Display all products whose minimum list price is more than the average list price of products and have the status 'orderable'.
137
View the Exhibits and examine PRODUCTS and SALES tables.
You issue the following query to display product name and the number of times the product has been sold:
|
SELECT p.prod_name, i.item_cnt FROM (SELECT prod_id, COUNT(*) item_cnt FROM sales GROUP BY prod_id) i RIGHT OUTER JOIN products p ON i.prod_id = p.prod_id; |
What happens when the above statement is executed?
A. The statement executes successfully and produces the required output.
B. The statement produces an error because ITEM_CNT cannot be displayed in the outer query.
C. The statement produces an error because a subquery in the FROM clause and outer-joins cannot be used together.
D. The statement produces an error because the GROUP BY clause cannot be used in a subquery in the FROM clause.
138
Which statement is true regarding subqueries?
A. The LIKE operator cannot be used with single- row subqueries.
B. The NOT IN operator is equivalent to IS NULL with single- row subqueries.
C. =ANY and =ALL operators have the same functionality in multiple- row subqueries.
D. The NOT operator can be used with IN, ANY, and ALL operators in multiple- row subqueries.
139
Which three statements are true about multiple-row subqueries? (Choose three.)
A. They can contain a subquery within a subquery.
B. They can return multiple columns as well as rows.
C. They cannot contain a subquery within a subquery.
D. They can return only one column but multiple rows.
E. They can contain group functions and GROUP BY and HAVING clauses.
F. They can contain group functions and the GROUP BY clause, but not the HAVING clause.
140
Examine the structure of the PRODUCTS table:
|
name Null Type PROD_ID NOT NULL NUMBER(4) PROD_NAME VARCHAR2(20) PROD_STATUS VARCHAR2(6) QTY_IN_HAND NUMBER(8,2) UNIT_PRICE NUMBER(10,2) |
You want to display the names of the products that have the highest total value for UNIT_PRICE * QTY_IN_HAND.
Which SQL statement gives the required output?
|
A. SELECT prod_name FROM products WHERE (unit_price * qty_in_hand) = (SELECT MAX(unit_price * qty_in_hand) FROM products); B. SELECT prod_name FROM products WHERE (unit_price * qty_in_hand) = (SELECT MAX(unit_price * qty_in_hand) FROM products GROUP BY prod_name); C. SELECT prod_name FROM products GROUP BY prod_name HAVING MAX(unit_price * qty_in_hand) = (SELECT MAX(unit_price * qty_in_hand) FROM products GROUP BY prod_name); D. SELECT prod_name FROM products WHERE (unit_price * qty_in_hand) = (SELECT MAX(SUM(unit_price * qty_in_hand)) FROM products) GROUP BY prod_name; |
141
View the Exhibit and examine the structure of CUSTOMERS and GRADES tables. You need to display names and grades of customers who have the highest credit limit. Which two SQL statements would accomplish the task? (Choose two.)
|
A. SELECT custname, grade FROM customers, grades WHERE (SELECT MAX(cust_credit_limit) FROM customers) BETWEEN startval and endval; B. SELECT custname, grade FROM customers, grades WHERE (SELECT MAX(cust_credit_limit) FROM customers) BETWEEN startval and endval AND cust_credit_limit BETWEEN startval AND endval; C. SELECT custname, grade FROM customers, grades WHERE cust_credit_limit = (SELECT MAX(cust_credit_limit) FROM customers) AND cust_credit_limit BETWEEN startval AND endval; D. SELECT custname, grade FROM customers , grades WHERE cust_credit_limit IN (SELECT MAX(cust_credit_limit) FROM customers) AND MAX(cust_credit_limit) BETWEEN startval AND endval; |
D,最后一句AND MAX(cust_credit_limit) BETWEEN,多了一个MAX
142
View the Exhibit and examine the structure of the PRODUCTS table. Evaluate the following query:
|
SELECT prod_name FROM products WHERE prod_id IN (SELECT prod_id FROM products WHERE prod_list_price = (SELECT MAX(prod_list_price) FROM products WHERE prod_list_price < (SELECT MAX(prod_list_price)FROM products))); |
What would be the outcome of executing the above SQL statement?
A. It produces an error.
B. It shows the names of all products in the table.
C. It shows the names of products whose list price is the second highest in the table.
D. It shows the names of all products whose list price is less than the maximum list price.
143
View the Exhibit and examine the structure of the PROMOTIONS table.
You have to generate a report that displays the promo name and start date for all promos that started after the last promo in the 'INTERNET' category.
Which query would give you the required output?
|
A. SELECT promo_name, promo_begin_date FROM promotions WHERE promo_begin_date > ALL (SELECT MAX(promo_begin_date) FROM promotions ) AND promo_category = 'INTERNET'; B. SELECT promo_name, promo_begin_date FROM promotions WHERE promo_begin_date IN (SELECT promo_begin_date FROM promotions WHERE promo_category='INTERNET'); C. SELECT promo_name, promo_begin_date FROM promotions WHERE promo_begin_date > ALL (SELECT promo_begin_date FROM promotions WHERE promo_category = 'INTERNET'); D. SELECT promo_name, promo_begin_date FROM promotions WHERE promo_begin_date > ANY (SELECT promo_begin_date FROM promotions WHERE promo_category = 'INTERNET'); |
144
View the Exhibit and examine the structure of the PRODUCTS table. You want to display the category with the maximum number of items.
You issue the following query:
|
SELECT COUNT(*),prod_category_id FROM products GROUP BY prod_category_id HAVING COUNT(*) = (SELECT MAX(COUNT(*)) FROM products); |
What is the outcome?
A.It executes successfully and gives the correct output.
B. It executes successfully but does not give the correct output.
C. It generates an error because the subquery does not have a GROUP BY clause.
D. It generates an error because = is not valid and should be replaced by the IN operator.
这样就oK了:
SELECT COUNT(*),prod_category_id
FROM SH.products
GROUP BY prod_category_id
HAVING COUNT(*) = (SELECT (COUNT(*)) FROM SH.products);
145
View the Exhibit and examine the structure of the CUSTOMERS table.
You issue the following SQL statement on the CUSTOMERS table to display the customers who are in the same country as customers with the last name 'KING' and whose credit limit is less than the maximum credit limit in countries that have customers with the last name 'KING'
|
SELECT cust_id, cust_last_name FROM customers WHERE country_id IN (SELECT country_id FROM customers WHERE cust_last_name ='King') AND cust_credit_limit < (SELECT MAX(cust_credit_limit) FROM customers WHERE country_id IN(SELECT country_id FROM customers WHERE cust_last_name='King')); |
Which statement is true regarding the outcome of the above query?
A. It executes and shows the required result.
B. It produces an error and the < operator should be replaced by < ALL to get the required output.
C. It produces an error and the < operator should be replaced by < ANY to get the required output.
D. It produces an error and the IN operator should be replaced by = in the WHERE clause of the main query to get the required output.
146
Evaluate the following SQL statement:
|
SELECT cust_id, cust_last_name FROM customers WHERE cust_credit_limit IN (select cust_credit_limit FROM customers WHERE cust_city ='Singapore'); |
Which statement is true regarding the above query if one of the values generated by the subquery is NULL?
A. It produces an error.
B. It executes but returns no rows.
C. It generates output for NULL as well as the other values produced by the subquery.
D. It ignores the NULL value and generates output for the other values produced by the subquery.
147
View the Exhibit and examine the structure of the PROMOTIONS table. Evaluate the following SQL statement:
|
SELECT promo_name,CASE WHEN promo_cost >= (SELECT AVG(promo_cost) FROM promotions WHERE promo_category='TV') THEN 'HIGH' ELSE 'LOW' END COST_REMARK FROM promotions; |
Which statement is true regarding the outcome of the above query?
A. It shows COST_REMARK for all the promos in the table.
B. It produces an error because the subquery gives an error.
C. It shows COST_REMARK for all the promos in the promo category 'TV'.
D. It produces an error because subqueries cannot be used with the CASE expression.
148
View the Exhibit and examine the structure of the PRODUCTS tables. You want to generate a report that displays the average list price of product categories where the average list price is less than half the maximum in each category. Which query would give the correct output?
|
A. SELECT prod_category, avg(prod_list_price) FROM products GROUP BY prod_category HAVING avg(prod_list_price) < ALL (SELECT max(prod_list_price)/2 FROM products GROUP BY prod_category); B. SELECT prod_category, avg(prod_list_price) FROM products GROUP BY prod_category HAVING avg(prod_list_price) > ANY (SELECT max(prod_list_price)/2 FROM products GROUP BY prod_category); C. SELECT prod_category, avg(prod_list_price) FROM products HAVING avg(prod_list_price) < ALL (SELECT max(prod_list_price)/2 FROM products GROUP BY prod_category); D. SELECT prod_category, avg(prod_list_price) FROM products GROUP BY prod_category HAVING avg(prod_list_price) > ANY (SELECT max(prod_list_price)/2 FROM products); |
149
View the Exhibits and examine the structures of the COSTS and PROMOTIONS tables. Evaluate the following SQL statement:
|
SELECT prod_id FROM costs WHERE promo_id IN (SELECT promo_id FROM promotions WHERE promo_cost < ALL (SELECT MAX(promo_cost) FROM promotions GROUP BY (promo_end_date - promo_begin_date))); |
What would be the outcome of the above SQL statement?
A. It displays prod IDs in the promo with the lowest cost.
B. It displays prod IDs in the promos with the lowest cost in the same time interval.
C. It displays prod IDs in the promos with the highest cost in the same time interval.
D. It displays prod IDs in the promos with cost less than the highest cost in the same time interval.
150
View the Exhibit and examine the data in the PROMOTIONS table. You need to display all promo categories that do not have 'discount' in their subcategory. Which two SQL statements give the required result? (Choose two.)
|
A. SELECT promo_category FROM promotions MINUS SELECT promo_category FROM promotions WHERE promo_subcategory = 'discount'; B. SELECT promo_category FROM promotions INTERSECT SELECT promo_category FROM promotions WHERE promo_subcategory = 'discount'; C. SELECT promo_category FROM promotions MINUS SELECT promo_category FROM promotions WHERE promo_subcategory <> 'discount'; D. SELECT promo_category FROM promotions INTERSECT SELECT promo_category FROM promotions WHERE promo_subcategory <> 'discount'; |
151
View the Exhibit and examine the structure of the CUSTOMERS and CUST_HISTORY tables. The CUSTOMERS table contains the current location of all currently active customers. The CUST_HISTORY table stores historical details relating to any changes in the location of all current as well as previous customers who are no longer active with the company. You need to find those customers who have never changed their address. Which SET operator would you use to get the required output?
A. MINUS
B. UNION
C. INTERSECT
D. UNION ALL
152
Which statement is true regarding the UNION operator?
A. By default, the output is not sorted.
B. NULL values are not ignored during duplicate checking.
C. Names of all columns must be identical across all SELECT statements.
D. The number of columns selected in all SELECT statements need not be the same.
Union和union all的区别有二:是否消除重复的行;是否进行排序(前者进行排序)
153
View the Exhibits and examine the structures of the PRODUCTS and SALES tables. Which two SQL statements would give the same output? (Choose two.)
|
A. SELECT prod_id FROM products INTERSECT SELECT prod_id FROM sales; B. SELECT prod_id FROM products MINUS SELECT prod_id FROM sales; C. SELECT DISTINCT p.prod_id FROM products p JOIN sales s ON p.prod_id=s.prod_id; D. SELECT DISTINCT p.prod_id FROM products p JOIN sales s ON p.prod_id <> s.prod_id; |
如果products和sales中的prod_id都对应相同,则B的结果为空,而D的结果不为空。
154
View the Exhibit and evaluate structures of the SALES, PRODUCTS, and COSTS tables. Evaluate the following SQL statement:
|
SELECT prod_id FROM products INTERSECT SELECT prod_id FROM sales MINUS SELECT prod_id FROM costs; |
Which statement is true regarding the above compound query?
A. It produces an error.
B. It shows products that were sold and have a cost recorded.
C. It shows products that were sold but have no cost recorded.
D. It shows products that have a cost recorded irrespective of sales.
三个集合操作符的优先级相同。
155
Evaluate the following SQL statement:
|
SELECT promo_id, promo_category FROM promotions WHERE promo_category = 'Internet' ORDER BY 2 DESC UNION SELECT promo_id, promo_category FROM promotions WHERE promo_category = 'TV' UNION SELECT promo_id, promo_category FROM promotions WHERE promo_category ='Radio |
Which statement is true regarding the outcome of the above query?
A. It executes successfully and displays rows in the descending order of PROMO_CATEGORY.
B. It produces an error because positional notation cannot be used in the ORDER BY clause with SET operators.
C. It executes successfully but ignores the ORDER BY clause because it is not located at the end of the compound statement.
D. It produces an error because the ORDER BY clause should appear only at the end of a compound query-that is, with the last SELECT statement.
156
Evaluate the following SQL statement:
|
SELECT cust_id, cust_last_name "Last Name" FROM customers WHERE country_id = 10 UNION SELECT cust_id CUST_NO, cust_last_name FROM customers WHERE country_id = 30; |
Which ORDER BY clauses are valid for the above query? (Choose all that apply.)
A. ORDER BY 2,1
B. ORDER BY CUST_NO
C. ORDER BY 2,cust_id
D. ORDER BY "CUST_NO"
E. ORDER BY "Last Name"
B,最后的结果集中不会有CUST_NO列,因为它与第一个查询的对应的列名不同,会使用第一个查询中的列名
157
View the Exhibit and examine the structure of the ORDERS and CUSTOMERS tables. Evaluate the following SQL command:
|
SELECT o.order_id, c.cust_name, o.order_total, c.credit_limit FROM orders o JOIN customers c USING (customer_id) WHERE o.order_total > c.credit_limit FOR UPDATE ORDER BY o.order_id; |
Which two statements are true regarding the outcome of the above query? (Choose two.)
A. It locks all the rows that satisfy the condition in the statement.
B. It locks only the columns that satisfy the condition in both the tables.
C. The locks are released only when a COMMIT or ROLLBACK is issued.
D. The locks are released after a DML statement is executed on the locked rows.
158
Which statements are true regarding the FOR UPDATE clause in a SELECT statement? (Choose all that apply.)
A. It locks only the columns specified in the SELECT list.
B. It locks the rows that satisfy the condition in the SELECT statement.
C. It can be used only in SELECT statements that are based on a single table.
D. It can be used in SELECT statements that are based on a single or multiple tables.
E. After it is enforced by a SELECT statement, no other query can access the same rows until a COMMIT or ROLLBACK is issued.
E,查询还是可以查询的。
159
View the Exhibit and examine the structure of the CUSTOMERS table.
NEW_CUSTOMERS is a new table with the columns CUST_ID, CUST_NAME and CUST_CITY that have the same data types and size as the corresponding columns in the CUSTOMERS table. Evaluate the following INSERT statement:\
|
INSERT INTO new_customers (cust_id, cust_name, cust_city) VALUES(SELECT cust_id,cust_first_name || cust_last_name,cust_city FROM customers WHERE cust_id > 23004); |
The INSERT statement fails when executed. What could be the reason?
A. The VALUES clause cannot be used in an INSERT with a subquery.
B. Column names in the NEW_CUSTOMERS and CUSTOMERS tables do not match.
C. The WHERE clause cannot be used in a subquery embedded in an INSERT statement.
D. The total number of columns in the NEW_CUSTOMERS table does not match the total number of columns in the CUSTOMERS table.
160
View the Exhibit and examine the structure of ORDERS and CUSTOMERS tables. There is only one customer with the cust_last_name column having value Roberts. Which INSERT statement should be used to add a row into the ORDERS table for the customer whose CUST_LAST_NAME is Roberts and CREDIT_LIMIT is 600?
|
A. INSERT INTO orders VALUES (1,'10-mar-2007', 'direct', (SELECT customer_id FROM customers WHERE cust_last_name='Roberts' AND credit_limit=600), 1000); B. INSERT INTO orders (order_id,order_date,order_mode, (SELECT customer_id FROM customers WHERE cust_last_name='Roberts' AND credit_limit=600),order_total) VALUES(1,'10-mar-2007', 'direct', &&customer_id, 1000); C. INSERT INTO (SELECT o.order_id, o.order_date,o.order_mode,c.customer_id, o.order_total FROM orders o, customers c WHERE o.customer_id = c.customer_id AND c.cust_last_name='Roberts' ANDc.credit_limit=600 ) VALUES (1,'10-mar-2007', 'direct',(SELECT customer_id FROM customers WHERE cust_last_name='Roberts' AND credit_limit=600), 1000); D. INSERT INTO orders (order_id,order_date,order_mode, (SELECT customer_id FROM customers WHERE cust_last_name='Roberts' AND credit_limit=600),order_total) VALUES(1,'10-mar-2007', 'direct', &customer_id, 1000); |

