dB应该是无线通信中最基本、最习以为常的一个概念了。我们常说“传播损耗是xx dB”、“发射功率是xx dBm”、“天线增益是xx dBi”……
有时,这些长得很像的dBx们可能被弄混,甚至造成计算失误。它们究竟有什么区别呢?

这事不得不先从dB说起。
而说到dB,最常见的就是3 dB啦!
3 dB在功率图或误码率图中经常出现。其实,没什么神秘的,下降3 dB就是指功率下降一半,3 dB点指的就是半功率点。

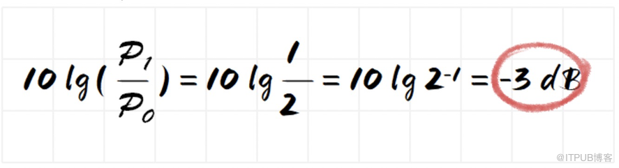
+3 dB表示增大为两倍,-3 dB表示下降为1/2。这是怎么来的呢?
其实很简单,让我们一起看下dB的计算公式:

dB表示功率P1相对于参考功率P0的大小关系。如果P1是P0的2倍,那么:

如果P1是P0的一半,那么:

关于对数的基本概念及运算性质,大家可以自行回顾下高一数学。。。
对数函数是以幂(真数)为自变量,指数为因变量,底数为常量的函数。对数函数是6类基本初等函数之一。其中对数的定义:
如果ax =N(a>0,且a≠1),那么数x叫做以a为底N的对数,记作x=logaN,读作以a为底N的对数,其中a叫做对数的底数,N叫做真数。
一般地,函数y=logaX(a>0,且a≠1)叫做对数函数,也就是说以幂(真数)为自变量,指数为因变量,底数为常量的函数,叫对数函数。
其中x是自变量,函数的定义域是(0,+∞),即x>0。它实际上就是指数函数的反函数,可表示为x=ay。因此指数函数里对于a的规定,同样适用于对数函数。
“log”是拉丁文logarithm(对数)的缩写。
现在出道题来检验下你的理解程度:
【问】功率增大为10倍,用?dB表示

这里请大家记住一个口诀。记住了这个口诀,你基本就可以横着走路了。

+3 dB,表示功率增加为2倍;+10 dB,表示功率增加为10倍。
-3 dB,表示功率减小为1/2;-10 dB,表示功率减小为1/10。
可见dB是个相对值,它的使命就是把一个很大或者很小的数,用一个简短的形式表达出来。

这可以极大的方便我们计算和描述。尤其是绘制表格的时候,大家可以自行脑补下,没换算成dB前,这么多的0,坐标轴得拉到外太空了吧。。。
理解了dB,你只能横着走,理解了dB家族的其它成员,你就可以躺赢了。

我们还是从最常用的dBm、dBw来说。
dBm、dBw就是把dB公式中的参考功率P0分别换成1 mW、1 W:

1 mW、1 W都是确定的值,因此dBm、dBw都可以表示功率的绝对值。
直接上个功率换算表供大家参考。

这里,我们要记住:
1 W = 30 dBm。
简化口诀是“30是基准,等于1 W整”。
记住了这条,再结合前面的“加3乘2,加10乘10;减3除2,减10除10”,你就可以进行很多口算了。

赶紧出道题来检验下。
【问】44 dBm=?W

你算对了吗?
这里我们需要注意,等式右侧除了30 dBm,其余的拆分项都要用dB表示。也就是说,用一个dBx减另一个dBx时,得到的结果用dB表示。
[例] 如果A的功率为46 dBm,B的功率为40 dBm,可以说A比B大6 dB。
[例] 如果A天线为12 dBd,B天线为14 dBd,可以说A比B小2 dB。

例如,46 dB表示P1为P0的4万倍,46 dBm则表示P1的值为40 W。符号中仅仅差了一个m,代表的含义可完全不同。
dB家族中常见的还有dBi、dBd、dBc。它们的计算方法与dB的计算方法完全一样,表示的还是功率的相对值。
不同的是,它们的参考基准不同,即分母上的参考功率P0所代表的含义不同。

一般认为,表示同一个增益,用dBi表示出来比用dBd表示出来要大2.15。这个差值是两种天线的不同方向性导致的,这里咱们就不展开说了。
此外,dB家族不仅可以表示功率的增益和损耗,还可以表示电压、电流、音频等,大家要具体场景具体应用。
需要注意的是,对于功率的增益,我们用10lg(Po/Pi),对于电压和电流的增益,要用20lg(Vo/Vi)、20lg(Io/Ii)。

多的这个2倍是怎么来的呢?
这个2来源于电功率转换公式的平方上。对数里面的n次方,计算后对应的就是n倍啦。

关于功率和电压、电流的转换关系,大家可以自行温习下初中物理。。。
最后,小编整理了一些主要的dB家庭成员,供大家参考。
相对值:

绝对值:

最最后,我们再来出两道题检验下大家的成果。
1. 30 dBm的功率是()
A. 1 W
B. 10 W
C. 1 mW
D. 10 mW
「A」
这个是送分题啊~记住口诀:30是基准,等于1 W整。
2. 假定小区输出总功率为46 dBm,在2天线时,单天线功率是( )
A. 46 dBm
B. 43 dBm
C. 23 dBm
D. 40 dBm
「B」
记住口诀“减3除2”,两个天线是46 dBm,单天线就是功率减少一半,就是减3 dB哦:46 dBm -3 dB=43 dBm。
或者,你也可以先计算出46 dBm对应40W,那么单天线功率是20W,即10lg(20W/1mW)=43 dBm。
好了,以上就是今天文章的全部内容。告诉小编,你坚持到100分钟了没?